☞ ░ 点此跳转到老猿Python博文目录░
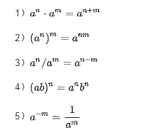
一、指数公式

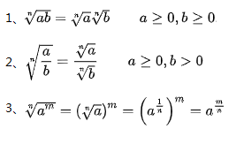
二、方根运算
在a、b大于0的情况下:

三、对数运算
2.1、对数的定义

2.2、对数运算

由上面的第一个公式可以得知:

2.3、常用对数

2.4、对数方程和不等式

本文深入讲解了数学中的关键运算概念,包括指数公式、方根运算和对数运算的基础及应用。通过对这些核心数学原理的详细解析,帮助读者理解并掌握各种数学运算背后的逻辑。

在a、b大于0的情况下:



由上面的第一个公式可以得知:



您可能感兴趣的与本文相关的镜像
Python3.10
Python 是一种高级、解释型、通用的编程语言,以其简洁易读的语法而闻名,适用于广泛的应用,包括Web开发、数据分析、人工智能和自动化脚本
6201
1331

被折叠的 条评论
为什么被折叠?