作者:幸运的石头 | 来源:3DCV
在公众号「3D视觉工坊」后台,回复「原论文」即可获取论文pdf。
摘要
同步定位和建图 (SLAM) 技术在过去几十年取得了惊人的进步,并引起了自动驾驶社区的极大兴趣。凭借其在导航和地图绘制的概念根源,SLAM 优于一些传统的定位和定位技术,因为它可以支持更可靠和稳健的定位、规划和控制以满足自动驾驶的一些关键标准。在这项研究中,作者首先概述了不同的 SLAM 实现方法,然后针对不同的驾驶场景、车辆系统组件和 SLAM 方法的特点讨论了 SLAM 在自动驾驶中的应用。然后,作者讨论了将 SLAM 应用于自动驾驶时的一些具有挑战性的问题和当前的解决方案。综述了评估SLAM系统的特性和性能以及监控SLAM估计风险的一些定量质量分析方法。此外,本研究还描述了一个真实世界的道路测试,以展示用于自动驾驶的基于多传感器的现代化 SLAM 程序。数值结果表明,结合激光雷达和 GNSS/INS 的 SLAM 程序可以生成高精度 3D 点云地图。基于此预生成地图和在线激光雷达扫描与紧密融合的惯性系统匹配,可以实现在线四到五厘米精度定位解决方案。本研究描述了一个真实世界的道路测试,以展示用于自动驾驶的基于多传感器的现代化 SLAM 程序。数值结果表明,结合激光雷达和 GNSS/INS 的 SLAM 程序可以生成高精度 3D 点云地图。基于此预生成地图和在线激光雷达扫描与紧密融合的惯性系统匹配,可以实现在线四到五厘米精度定位解决方案。本研究描述了一个真实世界的道路测试,以展示用于自动驾驶的基于多传感器的现代化 SLAM 程序。数值结果表明,结合激光雷达和 GNSS/INS 的 SLAM 程序可以生成高精度 3D 点云地图。基于此预生成地图和在线激光雷达扫描与紧密融合的惯性系统匹配,可以实现在线四到五厘米精度定位解决方案。
一、简介
自主(也称为自动驾驶、无人驾驶或机器人)车辆操作是一个重要的学术和工业研究课题。据预测,全自动驾驶汽车将成为未来几十年汽车总销量的重要组成部分。自动驾驶汽车的推广引起了人们对许多优势的关注,例如为残疾人或老年人提供服务、减轻驾驶员压力和成本、减少道路事故、消除对传统公共交通服务的需求等。[ 1 , 2 ] .
典型的自动驾驶汽车系统包含四个关键部分:定位、感知、规划和控制(图 1)。定位是获取(移动或静态)对象相对于给定坐标系的坐标的过程。坐标系可以是局部坐标系或大地基准,例如WGS84。定位是估计载体相对于参考系或地图的姿态(位置和姿态)的过程。感知系统监测本车周围的道路环境,识别感兴趣的对象,如行人、其他车辆、红绿灯、指示牌等。
图 1. 自动驾驶系统的功能组件。
通过确定周围环境中物体的坐标,可以生成地图。此过程称为建图。
路径规划是利用定位、建图和感知信息来确定后续驾驶时期的最佳路径,将自动驾驶车辆从一个位置引导到另一个位置的步骤。然后使用控制系统组件将该计划转化为行动,例如,在检测到交通灯之前进行制动控制等。
所有这些部分都是密切相关的。车辆和道路实体的位置信息可以通过结合位置、感知和地图信息来获得。相比之下,定位和建图可用于支持更好的感知。准确的定位和感知信息对于正确的规划和控制至关重要。
为实现全自动驾驶,定位和感知步骤需要考虑一些关键要求。首先是准确性。对于自动驾驶,有关道路位置和车辆在车道内位置的信息支持规划和控制步骤。为了实现这些,并确保车辆安全,对车道级别甚至“where-in-lane”级别(即子车道级别)的位置估计有严格的要求。识别范围很重要,因为规划和控制步骤需要足够的处理时间让车辆做出反应 [ 3]. 鲁棒性意味着定位和感知应该对驾驶时的任何变化具有鲁棒性,例如驾驶场景(城市、高速公路、隧道、乡村等)、照明条件、天气等。
传统的车辆定位和感知技术无法满足上述所有要求。例如,由于信号可能被树木、城市峡谷、隧道等扭曲甚至阻挡,因此会出现 GNSS 误差。惯性导航系统 (INS) 通常用于在 GNSS 信号中断期间支持导航,以继续提供位置、速度和高度信息。然而,惯性测量偏差需要经常估计校正或校准,最好使用 GNSS 测量来实现。然而,集成的 GNSS/INS 系统仍然不够,因为高度自动化驾驶不仅需要宿主车辆的定位信息,还需要周围环境中物体的空间特征。因此,感知传感器,例如激光雷达和相机,通常用于定位和感知。激光雷达可以直接获取 3D 点云,并借助 GNSS 和 INS 绘制环境地图,在城市道路行驶条件下精度可达厘米级 [4 ]。然而,高昂的成本限制了激光雷达系统在车辆中的商业应用。此外,其准确性受天气(例如下雨)和照明条件的影响。与激光雷达相比,摄像头系统的精度较低,但也会受到众多误差源的影响 [ 5、6 ]。然而,它们更便宜、体积更小、需要更少的维护并且使用更少的能源。基于视觉的系统可以提供丰富的环境信息,类似于人眼可以感知的信息,并且数据可以与其他传感器融合以确定检测到的特征的位置。
具有丰富道路环境信息的地图对于上述传感器实现准确和稳健的定位和感知至关重要。预先存储的道路信息使自动驾驶对不断变化的环境和道路动态具有鲁棒性。由于车载地图可以及时提供路网信息,因此可以满足识别范围要求。已经使用不同类型的地图信息研究了基于地图的定位和导航。谷歌地图就是一个例子,因为它提供全球地图信息,包括图像、地形细节和卫星图像 [ 7 ],并且可以通过手机和车辆应用程序获得。但是,地图的使用将受到地图精度的限制,并且在某些选定区域中,地图的分辨率可能不足。在 [ 8],作者通过结合来自其他传感器的数据来考虑用于导航的低精度地图。他们使用激光雷达数据检测移动物体,并使用带有粗略开源 GIS 地图的 GNSS/INS 系统。他们的结果表明他们的融合技术可以成功地检测和跟踪移动物体。[ 9 ]中提出了一种使用 3D 激光雷达传感器和高精度地图的基于路缘地图的精确定位方法。但是,当路缘信息缺失或受阻时,此方法将失败。
最近,所谓的“高清”(HD) 地图在自动驾驶的背景下受到了极大的关注,因为它们包含非常准确且大量的道路网络信息 [10 ]。据商业高清地图市场的一些主要参与者称,已经达到 10-20 厘米的精度[ 11、12】,预计在下一代高精地图中,精度将达到几厘米。此类地图包含大量道路特征信息,不仅包括静态道路实体和道路几何形状(曲率、坡度等),还包括交通管理信息,如交通标志、红绿灯、限速、道路标记等。自动驾驶汽车可以使用高精地图精确定位主车在车道内,并通过将车载传感器识别的地标与车道内预存信息进行匹配,估计汽车相对于道路物体的相对位置。高清地图。
因此,地图,尤其是高清地图,在支持自动驾驶方面发挥着多种作用,可能能够满足准确度、精确度、识别距离、鲁棒性和信息丰富度等严苛要求。然而,同时定位与建图(SLAM)等技术也促进了“地图”在自动驾驶中的应用。SLAM 是移动平台构建环境地图并同时使用该地图推断其位置的过程。广泛应用于机器人领域的 SLAM 已被证明 [ 13、14 ] 适用于自动驾驶车辆操作,因为它不仅可以支持精确的地图生成,还可以在先前生成的地图中进行在线定位。
通过适当的传感器信息(感知数据、绝对和航位推算位置信息),可以通过 SLAM 离线生成高密度和精确的地图。驾驶时,自动驾驶汽车可以通过将传感器数据与地图进行匹配,在预先存储的地图中定位自己。SLAM 还可用于解决 DATMO(移动物体的检测和跟踪)问题 [ 15] 这对于检测行人或其他移动物体很重要。由于环境的静态部分由 SLAM 定位和建图,因此可以同时检测和跟踪相对于静态对象或特征的动态组件。然而,SLAM 在应用于自动驾驶应用时也存在一些具有挑战性的问题。例如,“闭环”可用于减少室内或城市场景中 SLAM 估计中的累积偏差,但通常不适用于高速公路场景。
本文将回顾SLAM的一些关键技术,SLAM在自动驾驶中的应用,以及与应用相关的合适的SLAM技术。第 2 节简要介绍了一些关键 SLAM 技术的原理和特点。第 3 节描述了 SLAM 在自动驾驶中的一些潜在应用。第 4 节讨论了将 SLAM 技术应用于自动驾驶的一些具有挑战性的问题。第 5 节描述了一个真实世界的道路测试,以显示基于多传感器的自动驾驶 SLAM 程序的性能。结论在第 6 节中给出。
2. 关键SLAM技术
自 1986 年首次推出 [ 16 ] 以来,已经开发了多种 SLAM 技术。SLAM 的概念根源于大地测量学和地理空间建图 [ 17 ]。
一般来说,有两种类型的 SLAM 估计方法:基于滤波器和基于优化。两种方法同时估计车辆姿态状态和地图状态。车辆姿态包括 3D 或 2D 车辆位置,但有时还包括速度、方向或姿态,具体取决于所使用的传感器和应用程序。
2.1. 在线和离线 SLAM
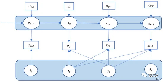
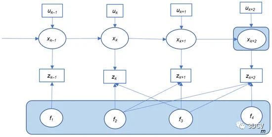
图 2和图 3说明了两种一般的 SLAM 实现:在线 SLAM 和离线 SLAM(有时称为全 SLAM)。根据 [ 18 ],全 SLAM 试图计算整个路径上的变量以及地图,而不仅仅是当前位姿,而在线 SLAM 问题是通过从全 SLAM 问题中删除过去的位姿来解决的。
图 2. 在线 SLAM 描述
图 3. 离线 SLAM 描述。
这里,x k代表车辆在时间k的位姿(位置、姿态、速度等) 。m是由存储的地标 ( f 1 – f 4 ) 及其位置状态组成的地图。u k是控制输入,表示时间段k − 1 和k之间的车辆运动信息,例如加速度、转角等,可以从车轮编码器或惯性传感器等车辆运动传感器获取。在某个时期k,机载传感器(如 Camera、Lidar 和 Radar)将感知环境并检测一个或多个地标。车辆和所有观察到的地标之间的相对观察表示为z k。有了这些信息,就可以估计变量(包括车辆姿态和地图状态)。
图 2和图 3中的蓝色背景矩形表示在这两个实现中估计的状态变量。在大多数情况下,对于在线 SLAM,在生成地图并使用最新测量值(u k +2和z k +2 )更新地图时,仅估计当前车辆位姿x k +2,而在离线情况下SLAM实现,车辆的整个轨迹连同整个地图一起更新。所有可用的控制和观察测量将一起用于离线 SLAM 实施。
然而,随着SLAM算法的发展和计算能力的提高,可以使用高效的SLAM算法实时获得完整的SLAM解决方案,也可以将其视为在线问题。因此,在线或离线实施 SLAM 方法可能取决于它所需的测量输入(控制和观察)是来自当前/历史还是来自未来的时代,以及它的处理时间(实时或非实时)。
2.2. 基于滤波器的 SLAM
基于滤波器的 SLAM 分两步递归地解决 SLAM 问题。首先,使用处理模型和控制输入来预测车辆和地图状态。在下一步中,使用当前传感器观测值对预测状态进行校正。因此,基于滤波器的 SLAM 适用于在线 SLAM。
基于扩展卡尔曼滤波器的 SLAM (EKF-SLAM) 代表了 SLAM 问题的标准解决方案。它源自贝叶斯过滤,其中所有变量都被视为高斯随机变量。它包括两个步骤:时间更新(预测)和测量更新(过滤)。在每个时期,测量和运动模型都被线性化(使用当前状态和一阶泰勒展开)。然而,由于线性化不是围绕状态向量的真实值进行的,而是围绕估计值 [ 19 ] 进行的,因此线性化误差会累积并可能导致估计发散。因此,可能会出现不一致。
与 EKF-SLAM 相关的另一个问题是地图尺寸的不断扩大,这使得大规模 SLAM 的二次计算过程变得不切实际。对于自动驾驶来说,复杂的道路环境和较长的行驶周期会引入大量的特征,使得实时计算不可行。为了提高计算效率,人们开发了大量的算法。例如,压缩扩展卡尔曼滤波器 (CEKF) [ 20 ] 算法可以通过关注局部区域然后将过滤后的信息扩展到全球地图来显着减少计算量。具有子图的算法也已用于解决计算问题[ 21、22、23、24]. 当旧地图达到预定义的地图大小时,使用新的空白地图替换旧地图。维护更高级别的地图以跟踪每个子地图之间的链接。
还有一些其他基于滤波器的 SLAM 方法,例如卡尔曼滤波器的一些变体。其中之一,信息滤波器 (IF),以状态误差协方差矩阵的逆形式传播,这使得该方法更加稳定 [ 25 ]。这种方法在多车 SLAM 中比在单车系统中更受欢迎。
另一类基于滤波器的 SLAM 技术是近年来流行的粒子滤波器 (PF)。PF 通过代表贝叶斯后验概率的一组随机点簇(或粒子)执行顺序蒙特卡洛(SMC)估计。在 [ 26 ]中提出了 Rao-Blackwellized 粒子滤波器。Fast-SLAM 是一种流行的实现方式,它将机器人位置分布视为一组 Rao-Blackwellized 粒子,并使用 EKF 来维护局部地图。这样一来,SLAM的计算复杂度就大大降低了。Fast-SLAM [ 27 ]可以实现实时应用,使自动驾驶的在线 SLAM 成为可能。与 EKF 相比的另一个优势是粒子滤波器可以处理非线性运动模型 [ 28]. 然而,根据 [ 29、30 ],Fast-SLAM 由于无法忘记过去而遭受退化。如果边缘化地图并在执行重采样时,统计准确性就会丢失。
2.3. 基于优化的 SLAM
Full SLAM 使用整个传感器数据估计所有车辆姿态和地图状态,并且主要基于优化。与基于滤波器的 SLAM 类似,基于优化的 SLAM 系统由两个主要部分组成:前端和后端。在前端步骤中,SLAM系统通过传感器数据提取问题的约束条件,例如,通过执行特征检测和匹配、运动估计、闭环检测等。然后应用非线性优化来获得最大似然估计在后端。
图 SLAM 是全 SLAM 的主要类别之一,它使用图形结构来表示贝叶斯 SLAM。所有平台沿整个轨迹构成,所有检测到的特征都被视为节点。姿势之间的空间约束被编码在节点之间的边缘中。这些约束来自观察、里程计测量和闭环约束。图构建后,应用图优化以优化整个轨迹和地图的图模型。为了求解全优化和计算后验的高斯近似,可以使用多种方法,例如 Gauss–Newton 或 Levenberg–Marquardt [31 ]。
对于基于图的 SLAM,其协方差矩阵的大小和更新时间在生成图后是恒定的,因此图 SLAM 已成为构建大规模地图的流行方法。降低优化步骤的计算复杂度已成为实际实现高维 SLAM 问题的主要研究课题之一。有效解决优化步骤的关键是法线矩阵的稀疏性。每个测量仅与非常有限数量的变量相关联的事实使得矩阵非常稀疏。利用Cholesky分解和QR分解方法,可以有效地分解信息矩阵和测量雅可比矩阵,从而显着降低计算成本。已经提出了几种算法,例如TORO和g2o。32、33、34、35、36 ]。_ _ _ _ _ _ _ 子地图可以独立优化并与局部坐标系相关。子地图坐标可以被视为姿势节点,与运动约束或闭环约束相关联。因此,生成了全局位姿图。以这种方式,计算复杂度和更新时间将得到改进。
Smoothing and Mapping (SAM) 是另一种基于优化的 SLAM 算法,是一种非线性最小二乘问题。这样的最小二乘问题可以通过增量平滑和建图 (iSAM) [ 37 ] 和 iSAM2 [ 38 ] 逐步解决。在线 SLAM 可以通过增量 SAM 获得,因为它们避免了对整个协方差矩阵进行不必要的计算。iSAM2 更高效,因为它使用贝叶斯树来获得增量变量重新排序和流体重新线性化。
SLAM++ 是另一种基于非线性最小二乘优化的 SLAM 增量解决方案,非常高效。此外,对于在线 SLAM 实现,快速状态协方差恢复对于数据关联、获得简化状态表示、主动决策和下一个最佳视图非常重要 [39、40 ]。SLAM++ 有一个优势,因为它允许增量协方差计算,这比其他实现更快[ 40 ]。
表 1总结了一些典型的 SLAM 技术的特征。请注意,Graph SLAM 利用所有可用的观察和控制信息,可以实现非常准确和稳健的估计结果。它适用于离线应用,其性能依赖于良好的初始状态猜测。Filter-based SLAM 用于在线估计时更适合小规模环境,但对于复杂环境,传统的 EKF-SLAM 可能难以进行实时计算。应考虑其他变体或 fastSLAM。增量优化方法可以进行增量更新,从而以非常高的效率实时地提供大比例尺地图的最优估计。
表 1. 一些典型 SLAM 技术的特征
2.4. SLAM 的传感器和融合方法
由于传感器和计算技术的进步,出现了新的 SLAM 方法。这些方法在后端估计步骤也是基于优化或基于过滤的,而前端步骤高度依赖于不同传感器模式的应用。用于 SLAM 的两个主要传感器是激光雷达和相机。与其他传感器相比,激光雷达方法因其简单性和准确性而变得流行 [ 52 ]。基于激光雷达的定位和建图的核心是扫描匹配,恢复两个扫描或点云的相对位置和方向。流行的扫描匹配方法包括迭代壁橱点 (ICP) 算法及其变体[ 53、54、55],以及正态分布变换 (NDT) [ 56 ]。这些方法高度依赖于良好的初始猜测,并受到局部最小值 [ 57、58 ]的影响。其他一些匹配方法包括概率方法,例如相关扫描匹配 (CSM) [ 59 ]、基于特征的方法 [ 57、60 ]等。许多扫描匹配方法专注于初始免于初始化错误或对初始化错误具有鲁棒性,但它们仍然面临计算效率的挑战。
一些可用于 SLAM 估计的距离传感器是雷达和声纳/超声波传感器。雷达的工作方式与激光雷达类似,但该系统发射无线电波而不是光来测量到物体的距离。此外,由于雷达可以使用测量的多普勒频移 [ 61 ]来观察传感器与物体之间的相对速度,因此适用于区分静止物体和运动物体,并可用于在建图过程中丢弃运动物体 [ 62 ]。在[ 42 , 62 , 63 , 64 , 65 , 66中可以找到一些关于将雷达用于 SLAM 的研究]. 与激光雷达相比,低价格、低功耗和对大气条件的敏感性较低,使其非常适合户外应用。然而,雷达的测量分辨率较低,其检测比激光雷达更稀疏。因此,很难匹配雷达数据和处理数据关联问题,这导致其 3D 建图不太准确。
声纳/超声波传感器还通过发送和接收声波来测量飞行时间 (TOF) 以确定到物体的距离。基于声纳的 SLAM 最初用于水下 [ 67、68 ] 和室内 [ 69 ]应用。由于其低成本和低功耗,它已变得流行。它不受能见度限制的影响,可用于多种表面类型 [ 70]. 然而,与雷达类似,它获取的信息稀疏,并且存在特征提取不准确和处理时间长的问题。因此,它在高速车辆应用中的用途有限。此外,声纳/超声波传感器的感应范围有限,可能会受到环境噪声和其他使用相同频率超声波的平台的影响[ 71 ]。
相机是另一种流行的 SLAM 传感器。已经开发了不同的技术,例如单目[ 72、73 ] 、立体[ 74、75、76、77 ]和多摄像头[ 78、79、80、81 ] 。这些技术可用于各种环境,包括室内和室外。单摄像头系统易于部署,但存在规模不确定性[ 82 ]。立体相机系统可以克服比例因子问题,并且可以通过从两个不同的角度比较同一场景来检索 3D 结构信息 [ 61]]. 多相机系统受到越来越多的关注,特别是当它们实现大视野 [ 78 ] 或者甚至能够实现全景视觉 [ 81 ] 时。该系统在复杂环境中更加稳健,而单传感器系统可能非常容易受到环境干扰[ 81 ]。然而,相机的集成需要额外的软件和硬件,并且需要更多的校准和同步工作[ 71、83 ]。另一种特殊的相机,RGB-D 相机,已经被 SLAM 和计算机视觉社区研究 [ 84 , 85 , 86 , 87 , 88 , 89, 90 , 91 ] 因为它可以直接获取深度信息。然而,该系统主要适用于室内环境,因为它使用红外光谱光,因此对外部照明敏感[ 70 ]。
根据测量的使用方式,视觉 SLAM 也可以分为基于特征的或直接的 SLAM。基于特征的 SLAM 反复检测图像中的特征,并利用描述性特征进行跟踪和深度估计 [ 92 ]。这种基于特征的系统的一些基本框架包括 MonoSLAM [ 72、93 ]、PTAM [ 94 ] 、 ORB -SLAM [ 95 ] 和 ORB-SLAM2 [ 96 ]。直接 SLAM 方法不使用任何特征检测器和描述符,而是使用整个图像。直接 SLAM 的示例包括 DTAM [ 97 ]、LSD-SLAM [ 73 ] 和 SVO [ 98]]. 这些方法可以获得密集或半密集的环境模型,这使得它们比基于特征的方法对计算的要求更高。恩格尔等。[ 74 ] 将 LSD-SLAM 从单眼模型扩展到立体模型,而 Caruso 等人。[ 99 ] 将 LSD-SLAM 扩展到全向模型。视觉SLAM的详细回顾可以在 [ 5 ]和[ 70、92、100、101 ]中找到。
这些感知传感器中的每一个都有其优点和局限性。激光雷达方法可以提供精确和远距离的观测,但存在一些局限性,例如对大气条件敏感、价格昂贵且目前相当笨重。雷达系统成本相对较低,但比 3D 建图更适合对象检测。声纳/超声波传感器不适合高速平台应用。相机成本低,即使使用多个相机也是如此。相机还可以提供丰富的视觉信息。然而,它们对环境纹理和光线敏感,并且通常具有很高的计算要求。因此,一种流行的策略是组合多种传感器,使 SLAM 系统更加鲁棒。
有几种策略可以为 SLAM 集成来自不同传感器的数据。一种是融合独立处理的传感器结果,然后获得最终解决方案。在[ 102 ]中,提出了一种将激光和立体相机测量分别生成的两个网格图合并为单个网格图的建图方法。在这种方法中,需要将不同传感器的测量值建图到一个联合参考系统。在 [ 103],一种多传感器 SLAM 系统,结合了激光读数的 3-DoF 姿态估计、单目视觉系统的 6-DoF 姿态估计以及基于惯性的导航估计结果,使用提出了EKF处理方案。对于这种类型的策略,传感器可以提供冗余,并且系统将对可能的单传感器故障具有鲁棒性。可能需要一个决策步骤来识别来自每个传感器的数据是否可靠,并决定是采用来自该传感器模式的估计还是忽略它。另一种融合策略是使用辅助传感器来提高其他基于传感器的 SLAM 算法的性能。主传感器可以是激光雷达或摄像头,而辅助传感器可以是任何其他类型的传感器。在这个策略中,辅助传感器用于克服主传感器的局限性。在[工作104 ] 结合视觉信息为刚体变换提供良好的初始猜测,然后使用该初始变换为 ICP 框架播种。黄等。[ 105 ] 从激光雷达数据中提取基于点和基于线的地标的深度。所提出的系统使用此深度信息来指导相机跟踪,并支持后续的点线束调整以进一步提高估计精度。
以上两种策略可以结合使用。在[ 106 ]的工作中,融合由两个模型组成,一个处理特征融合,利用图像中的线特征信息去除激光段中由动态物体产生的任何“伪段”。另一个是改进的 EKF SLAM 框架,它结合了从单个单目和激光 SLAM 获得的状态估计,以减少姿态估计协方差并提高定位精度。这种改进的 SLAM 框架即使在一个传感器发生故障时也可以运行,因为传感器 SLAM 过程是相互并行的。
在文献中也可以找到一些更紧密融合的例子。[ 107 ]的工作结合了激光点云数据和图像特征点数据作为约束,并使用特定的成本函数对这两个约束进行了图形优化。此外,该系统还添加了基于图像特征的闭环以消除累积误差。
惯性 SLAM 包含一个惯性测量单元 (IMU) 作为辅助传感器。IMU 可以与 Camera 或 Lidar 融合,支持位姿(位置、速度、姿态)估计。使用 IMU,可以观察到姿态,尤其是航向 [ 108 ]。IMU 测量的集成还可以提高观察间隙期间的运动跟踪性能。例如,对于视觉 SLAM,光照变化、无纹理区域或运动模糊将导致视觉轨迹丢失 [ 108 ]。对于激光雷达系统,原始激光雷达扫描数据可能会因高速运动(例如快速移动或突然摇晃)而产生倾斜,从而导致难以解释的传感误差 [109 ]。[ 110的工作] 使用 IMU 传感器来处理快速速度变化,并初始化运动估计以进行扫描匹配激光雷达里程计,以支持他们的 LOAM 系统。两次激光雷达扫描之间的高频 IMU 数据可用于消除激光雷达点云的偏移并提高其精度 [ 109 ]。
惯性传感器的融合可以作为一个简单的助手 [ 111 , 112 ] 或更紧密的耦合 [ 108 , 113 , 114 , 115 ]。对于简单的辅助情况,IMU 主要用于提供方向信息,例如支持系统初始化。IMU 用作整个系统的先验,IMU 测量不用于进一步优化。对于紧耦合情况,IMU数据与相机/激光雷达状态融合建立测量模型,然后进行状态估计并反馈给惯性导航系统以提高导航性能[ 116]. 因此,前一种方法比后者更有效,但准确性较低 [ 117 ]。对于紧密耦合的情况,卡尔曼滤波器可用于校正 IMU 状态,即使在 GNSS 中断期间也是如此 [ 118 ]。
2.5. 基于深度学习的 SLAM
前面提到的大多数SLAM方法都是基于几何模型的,它建立了基于几何的平台运动和环境模型。这些方法在过去十年中取得了巨大的成功。然而,他们仍然面临许多具有挑战性的问题。例如,视觉 SLAM (VSLAM) 在极端光照条件下受到限制。对于大规模应用,基于模型的方法需要处理大量信息,例如特征和动态障碍物。最近,深度学习技术,例如在计算机视觉领域开发的数据驱动方法,引起了更多关注。许多研究人员尝试将深度学习方法应用于 SLAM 问题。
由于深度学习技术在图像分类、识别、目标检测和图像分割领域取得了突破,因此当前的大部分研究活动都集中在利用基于学习的方法来解决 VSLAM 问题 [119 ]。例如,深度学习已成功应用于视觉里程计 (VO) 问题,这是 VSLAM 的重要组成部分。光流估计在一些学习的VO模型中用作输入[ 120、121、122、123、124 ] 。学习方法的应用可以以端到端的方式应用,而无需在传统的 VO 管道中采用任何模块[ 125、126 ]]. 王等。[ 125 ] 通过将 CNN 与 RNN 相结合,引入了一种具有深度递归卷积神经网络 (RCNN) 的端到端 VO 算法。使用这种算法,相机的姿态直接从原始 RGB 图像中估计出来,既不需要先验知识也不需要参数来恢复绝对比例 [ 125 ]。李等。[ 127 ] 提出了一种基于无监督深度学习的 VO 系统(UnDeepVO),该系统使用立体图像对进行训练,然后使用单目图像执行姿态估计和密集深度图估计。与 Wang 等人提出的不同。[ 125 ],UnDeepVO 不需要地面实况,因为它以无人监督的方式运行。
基于学习的方法可以与 VSLAM 系统相结合,以替换或添加传统 SLAM 的单个或某些模块,例如图像深度估计 [128, 129, 130] ,姿态估计[ 131 , 132 , 133 ] ,以及闭环[ 134、135、136、137 ]等,对传统方法进行改进。李等。[ 138] 提出了一种完全无监督的基于深度学习的 VSLAM,它包含几个组件,包括 Mapping-net、Tracking-net、Loop-net 和图形优化单元。这种 DeepSLAM 方法可以实现准确的姿态估计,并且在一些具有挑战性的场景中具有鲁棒性,将重要的几何模型和约束结合到网络架构和损失函数中。
环境的语义感知和语义分割是当前计算机视觉领域的研究课题。它们可以提供对环境的高层次理解,对于自主应用程序极为重要。深度学习的快速发展可以协助将语义信息引入 VSLAM [ 139 ],用于语义分割 [ 140、141、142 ] 、定位和建图 [ 143、144、145、146、147 ],以及动态对象移除[ 148 , 149 , 150 , 151]. 一些基于深度学习的VSLAM的详细评论可以在[ 92、139、152、153、154 ]中找到。
与惯性传感器的融合也可以受益于深度学习技术,尤其是 RNN,它在整合时间信息和帮助建立相邻帧之间的一致性方面具有优势 [139 ]。视觉和惯性数据与 RNN 或长短期记忆 (LSTM) 的集成,RNN 的一种变体,允许 RNN 学习长期趋势 [155],已被证明比传统融合更有效和方便 [ 156 ] , 157 , 158 ]。根据 Clark 等人的说法。[ 157],数据驱动的方法消除了相机和 IMU 手动同步的需要,以及相机和 IMU 之间手动校准的需要。它优于传统的融合方法,因为它对校准误差具有鲁棒性并且可以减轻传感器漂移。然而,为了解决漂移问题,仍然需要研究将基于学习的视觉惯性里程计系统进一步扩展到更大的具有闭环检测和全局重定位的类 SLAM 系统。
与基于视觉的 SLAM 相比,激光扫描仪或基于激光雷达的 SLAM 的深度学习技术的应用仍处于早期阶段,可以被认为是一个新的挑战 [159 ]。维拉斯等人。[ 160 ]通过使用 IMU 传感器支持旋转参数估计,将 CNN 用于激光雷达里程计估计。结果与 LOAM 等最先进的方法具有竞争力。李等。[ 161 ]介绍了一种端到端的激光雷达里程计LO-Net,它具有高效率和高精度,并且可以处理动态物体。然而,这种方法是用地面实况数据训练的,这限制了它在大规模户外场景中的应用。李等。[ 162] 设计了一个视觉-激光雷达里程计框架,它是自我监督的,不使用任何地面实况标签。结果表明,这种 VLO 方法优于当前其他自监督视觉或激光雷达里程计方法,并且比完全监督的 VO 表现更好。数据驱动的方法还使激光雷达数据的语义分割更加准确和快速,使其适用于支持自动驾驶汽车 [ 163、164、165 ] 。LMNet 可以将运动物体与静态物体区分开来[ 166] 基于 3D 激光雷达扫描的 CNN。在具有挑战性的动态环境中自动驾驶的一些具有成本效益的 3D 激光雷达应用的一个限制是其相对稀疏的点云。为了克服这个缺点,Yue 等人使用了高分辨率相机图像。[ 167] 来丰富原始 3D 点云。ERFNet 用于借助稀疏激光雷达数据对图像进行分割。同时,采用稀疏不变CNN(SCNN)来预测密集点云。然后,可以使用多层卷积神经网络 (MCNN) 组合这两个输出来细化丰富的点云。最后,可以使用这个丰富的点云执行激光雷达 SLAM。使用这种激光雷达数据丰富神经网络方法可以实现更好的目标分割。然而,由于训练数据集较小,与原始稀疏点云相比,该方法在丰富点云的 SLAM 精度上没有提高。可能需要对动态对象进行更多培训和进一步调查,以满足自动驾驶应用要求 [ 167 ]。
复杂的深度学习架构的产生有助于实现更准确、稳健、自适应和高效的计算机视觉解决方案,证实了它们在 SLAM 问题中应用的巨大潜力。大规模数据集的可用性仍然是推动这些应用程序发展的关键。此外,由于不需要地面实况,无监督学习更有希望用于自动驾驶中的 SLAM 应用。与传统的SLAM算法相比,数据驱动的SLAM仍处于发展阶段,尤其是激光雷达SLAM。此外,结合多种传感模式可以克服单个传感器的缺点,为此基于学习方法的集成系统仍需要进一步研究。
3. SLAM在自动驾驶中的应用
根据 SLAM 技术的不同特性,自动驾驶可能有不同的应用。应用程序的一种分类是它们是离线的还是在线的。满足高性能要求的地图通常是离线生成的,例如高清(HD)地图[ 10 ]。对于这种3D点云地图,离线地图生成过程保证了地图的准确性和可靠性。可以预先生成此类地图以支持自动驾驶车辆的实时操作。
3.1. 高清地图生成与更新
如前所述,SLAM 可用于生成用于自动驾驶的数字地图,例如高清地图 [ 10]. 由于要求严格,因此使用了高质量的传感器。激光雷达是自动驾驶汽车的核心传感器之一,因为它可以生成高密度的 3D 点云。高端GNSS和INS技术也被用来提供准确的位置信息。相机可以提供类似于人眼检测到的信息的信息。传感器数据的融合和道路信息的分析以生成高清地图需要相当大的计算能力,这在当前的车载系统中是不可行的。因此,高清地图是离线构建的,使用基于优化的 SLAM 等技术。离线地图创建可以通过多次驾驶道路网络来收集信息,然后将所有收集到的感知传感器信息和位置信息一起处理,以提高最终地图的准确性。高清地图的示例显示在图 4 [ 11 ]。
图 4. 来自高清地图 ( https://here.com/ ) [ 11 ] 的图像。
道路环境和道路规则可能会发生变化,例如,道路施工可能会降低限速,建筑开发可能会改变道路基础设施等。因此高精地图需要经常更新。此类更新可以利用从任何自动驾驶汽车收集的在线数据。例如,数据被传输到执行更新计算的中央(云)计算机。其他汽车可以接收此类基于云的更新,并及时调整驾驶计划。乔等人。[ 168 ] 提出了一种 SLAM 变化更新(SLAMCU)算法,利用 Rao-Blackwellized PF 方法进行在线车辆位置和(新)地图状态估计。在 [ 169],当车辆暂时停止或在停车场时,可以使用Graph SLAM生成一个新的高清地图特征层。然后可以将来自一辆车的新特征层上传到地图云,并与来自其他车辆的特征层集成到地图云中的新特征层,从而实现更精确和稳健的车辆定位。在张等人的工作中。[ 170 ],结合实时语义分割和视觉SLAM生成道路环境的语义点云数据,然后与预先构建的高清地图进行匹配,以确认地图元素没有发生变化,并在发生变化时生成新的元素。出现,从而促进高清地图的众包更新。
3.2. 小型本地地图生成
SLAM 也可以用于小的局部区域。一个例子是在停车场内。停车场的行驶速度较低,因此视觉技术将比其他高速行驶场景更稳健。停车区域可能是未知的(公共停车场或车库),或已知的(家庭区域)——这两种情况都可以从 SLAM 中获益。由于 SLAM 可以在没有 GNSS 信号的情况下使用,因此适用于室内或地下停车场的车辆,仅使用感知传感器和里程计测量(速度、转角)或 IMU 测量。对于未知的公共停车场,可以同时估计汽车的位置和障碍物,如柱子、侧墙等,指导停车系统。对于家庭区域停车,可以将预先生成的地图和频繁停车轨迹存储在自动车辆系统中。每次汽车回家时,可以通过将检测到的特征与地图进行匹配,使用存储的地图进行重新定位。频繁轨迹可用于规划和控制步骤。
[ 171 ]中提出了一种利用多级表面 (MLS) 地图定位车辆,并计算和规划室内停车场内车辆路径的方法。在这项研究中,基于图形的 SLAM 用于建图,然后使用 MLS 地图规划从起点到目的地的全局路径,并通过激光测距稳健地定位车辆。在 [ 172 ]的工作中,网格地图和 EKF SLAM 算法与 W 波段雷达一起用于自主倒车停车。在这项工作中,提出了一种有效的 EKF SLAM 算法以实现实时处理。在 [ 173],作者提出了一种环视监视器(AVM)/激光雷达传感器融合方法来识别停车道并提供快速闭环性能。上述研究表明,即使没有 GNSS,基于滤波器的 SLAM 和基于优化的 SLAM 都可以用于支持高效和准确的车辆停车辅助(局部区域建图和定位)。在秦等人的工作中。[ 174],执行位姿图优化以获得优化的轨迹和停车场的全局地图,具有诸如引导标志、停车线和减速带等语义特征。这些特征比传统的几何特征更(长期)稳定和稳健,尤其是在地下停车场环境中。然后使用 EKF 完成自动驾驶的定位系统。
3.3. 在现有地图中定位
在基于地图的定位中,使用迭代最近点 (ICP)、正态分布变换 (NDT) 等方法将“实时”数据与地图信息进行匹配 [10 , 175 ]。这些算法可以与 SLAM 问题联系起来,因为 SLAM 使用类似的方法执行闭环和重新定位。对于 SLAM 问题,识别先前建图的对象或特征并在环境中重新定位车辆的能力对于校正地图 [ 13 ]至关重要。因此,重用预先生成的地图来定位车辆可以被认为是 SLAM 算法的扩展。换句话说,预先生成和存储的地图可以被视为一种支持定位的“传感器”。
然而,将实时数据与预先准备好的大规模地图相匹配需要大量的计算资源。因此,已经提出了一些方法来提高计算效率。一种方法是先用 GNSS 或 GNSS/INS 估计的位置从地图中缩小可能的匹配区域,然后将检测到的特征与地图进行详细匹配 [176 ]。
由于目前激光雷达系统在商用车上的安装有限(传感器价格高、功耗大),在预先生成的高清地图中使用低成本传感器(例如视觉传感器)定位车辆具有相当大的实用性兴趣。例如,[ 177 ] 中的工作使用视觉数据在密集的激光雷达生成的地图中定位了车辆,并证明了与传统激光雷达定位相似的数量级错误率,但使用便宜几个数量级的传感器技术。施赖伯等人。[ 178] 建议首先使用高精度 GNSS 单元、Velodyne 激光扫描仪和相机生成带有道路标记和路缘信息的高精度地图。然后在定位过程中,使用立体摄像头系统检测道路信息,并将其与预先生成的地图进行匹配,实现车道级实时定位。郑等人。[ 179 ]利用从相机图像中获得的道路标记进行全局定位。生成了包含道路信息(例如 3D 道路标记点)的子地图,并用于识别重访地点并支持准确的环路检测。然后使用基于姿势图的方法来消除漂移。秦等。[ 146] 提出语义定位系统,为低成本汽车提供轻量级定位解决方案。在这项工作中,通过结合基于 CNN 的语义分割结果和位姿图优化后的优化轨迹生成局部语义图。然后在云服务器中生成(或更新)压缩的全球地图,以基于 ICP 方法和 EKF 框架进一步对最终用户进行定位。语义地图的平均大小为 36 kb/km。这种基于摄像头的定位框架对于自动驾驶来说是可靠和实用的。
除了上述应用,道路环境中的移动物体也会导致自动驾驶的感知、定位和建图漂移。SLAM 可用于解决 DATMO(移动物体的检测和跟踪)[ 15 ] 的问题,因为 SLAM 的假设之一是检测到的特征是静止的。由于环境的静态部分由 SLAM 定位和建图,动态部分可以同时检测和跟踪。一些方法已经处理了动态障碍[ 180、181、182 ]。
4. SLAM应用于自动驾驶的挑战及建议解决方案
4.1. 确保高精度和高效率
自动驾驶车辆的定位和地图绘制需要对环境中的任何变化都准确且稳健,并高效执行。随着传感器技术的快速发展,不同传感器的组合可以弥补特定传感器的局限性。示例包括 GNSS/INS + 激光雷达/相机 SLAM、雷达 SLAM 等。有大量与低成本和/或小型化激光雷达传感器相关的研究和开发。新的激光雷达传感器概念有望显着降低激光雷达系统的成本,并有可能在未来的自动驾驶汽车中实时实施。例如,RoboSense 推出了一个新的$200 激光雷达传感器结合 MEMS 传感器和基于 AI 的深度学习算法以支持高性能自动驾驶应用 [ 183 ]。
选择 SLAM 方法应考虑具有不同需求级别的不同应用场景。基于优化的 SLAM 可以提供更准确和稳健的估计,但更适合离线估计。EKF SLAM 存在状态变量数量呈二次方增长的问题,这限制了其在大规模环境中的在线应用。尽管高分辨率地图的生成可以是离线的、实时的或近实时的,但解决方案对于地图更新和基于地图的本地化应用程序来说是必不可少的。
道路环境的任何变化都应在地图上快速更新并传输给其他道路使用者。新兴的 5G 无线技术可以使车对车 (V2V)、车对基础设施 (V2I) 和车对云之间的通信更加可靠,吞吐量更高 [14 ]。
4.2. 代表环境
有不同类型的地图可用于表示道路环境。机器人领域中用于 SLAM 应用的三种主要地图类型是占用网格地图、基于特征的地图和拓扑地图 [ 184 ]。它们也适用于道路环境。对于自动驾驶应用,它们中的每一个都有其自身的优势和局限性。网格地图将环境划分为许多固定大小的单元格,每个单元格包含自己独特的属性,例如网格是否被占用、空闲或未知 [ 185、186 ]。障碍物占用信息可以直接提供给规划算法。这种地图可以很容易地合并,并且可以灵活地合并来自多种类型传感器的数据 [ 184]. Mentasti 和 Matteucci [ 185 ] 提出了一种占用网格创建方法,该方法利用来自自动驾驶车辆上所有可用传感器的数据,包括激光雷达、相机、激光和雷达。网格图还显示了检测移动物体的潜力 [ 187 ]。穆茨等人。[ 188] 比较不同网格地图的建图和定位性能,包括占用率、反射率、颜色和语义网格地图,用于自动驾驶汽车在不同驾驶环境中的应用,包括在具有挑战性的条件下。GraphSLAM 用于建图,而定位基于粒子滤波解决方案。根据他们的结果,占用显示了更准确的定位结果,其次是反射率网格图。语义网格地图在大多数情况下保持位置跟踪没有损失,但是比前两种地图方法有更大的错误。彩色网格图在定位中使用最不一致和不准确,这可能是由于光照条件的影响。189 ]。因此 Li [ 186 ] 建议将此技术应用于具有受控大小的实时局部建图而不是全局建图。
基于特征的地图是一种流行的自动驾驶地图类型。它用一组从传感器数据中提取的特征来表示地图。对于室外道路环境,典型的特征是车道、路缘石、道路标记和标志、建筑物、树木等。对于室内区域,尤其是停车场,特征主要是停车道、侧墙等。这些特征可以是由点、线、面表示,标有坐标信息。点特征将环境表示为密集的点云。使用激光雷达和/或视觉传感器生成的高密度点云地图可以提供车辆周围区域的丰富特征和 3D 结构信息。然而,如此庞大的数据传输、更新和处理对于复杂的道路环境来说是一个沉重的负担。较稀疏的线面特征适用于结构化环境,如室内环境、市区或高速公路,标记清晰。这些特征比点特征更复杂,内存需求更低[186 ],并且不易受噪音影响[ 189 ]。我等人。[ 173 ]提出了一种基于停车线的 SLAM 方法,该方法提取和分析停车线特征,以实现停车区的快速闭环和准确定位。Javanmardi 等人。[ 190 ] 生成了一张城市道路地图,其中包含 2D 线和 3D 平面,以表示道路沿线的建筑物和地面。然而,对于自动驾驶来说,应用环境是多变的。特定的基于地标的算法可能不适用于其他驾驶场景。此外,在一些农村地区,道路可能未铺砌,也没有道路车道标记。因此,由于缺乏道路标记和不规则的道路曲线几何形状,相关的基于特征的地图方法可能不可行 [191].
拓扑图表示具有一系列节点和边的环境。节点表示重要的对象,如拐角、交叉点和特征点;而边表示它们之间的拓扑关系 [ 192 , 193 ]。一种典型的拓扑图是 OpenStreetMAP (OSM) [ 194 ],它包含要素的坐标以及道路方向、车道数等道路属性。这种地图显着降低了存储和计算要求。然而,它丢失了一些关于实际环境的性质和结构的有用信息 [ 184 ]。因此,一些方法将拓扑图与其他类型的图结合起来。Bernuy 和 Ruiz-del-Solar [ 195] 提出使用基于语义信息的拓扑图为自动驾驶汽车和 ADAS 系统的大规模室外场景提供稳健高效的建图和定位解决方案。根据 Bernuy 和 Ruiz-del-Solar [ 195 ] 的研究,基于图的拓扑语义建图方法适用于高速公路、乡村道路和城市地区的大规模驾驶任务,与度量地图相比计算量更少。本德尔等。[ 196 ] 介绍了一个非常详细的地图,Lanelets,它结合了几何和拓扑表示,并包括有关交通法规和速度限制的信息。
语义地图在自主领域变得越来越重要,因为它包含语义信息,可以让机器人或车辆更好地理解环境,并完成更高级别的任务,例如人机交互。对于户外应用,标记对象可以是统计背景(例如,“建筑物”、“树”、“交通标志”)或动态实体(例如,“车辆”、“行人”)。因此,这种地图可以促进自动驾驶车辆的复杂任务,例如规划和导航 [ 195、197 ]。将语义概念与几何实体相关联已成为一个热门的研究课题,并且已经研究了结合几何和语义信息的语义 SLAM 方法 [ 139 , 143, 149 ]。语义 SLAM 方法有助于使定位和建图更加稳健 [ 174 ],支持在重访区域进行重新定位 [ 143 ],非常重要的是,有助于跟踪在动态环境中检测到的移动物体[ 149、151、198 ] 。语义地图生成和利用面临的一个关键问题是其中的一些模块,例如语义分割,对计算要求很高,这使得它们不适合实时应用[199],特别是对于大规模的户外场景。因此,一些研究试图解决这个问题。罗斯等人。[ 199] 提出了一种离线在线策略,可以在不牺牲准确性的情况下离线生成密集的 3D 语义地图。之后,可以通过将当前视图与 3D 地图进行匹配来进行实时自定位,并相应地检索相关的几何和语义。同时,可以在线检测新的动态物体,支持瞬时运动规划。随着深度学习的出现,语义分割和语义 SLAM 的效率和可靠性得到了极大的提高 [ 147 , 200 , 201 , 202 , 203]. 然而,如前所述,在将基于深度学习的语义 SLAM 应用于自动驾驶时,仍然存在一些挑战,例如需要大量的训练数据,或者缺乏需要无监督学习方法的 ground truth。
不同的地图表示对于支持在具有挑战性和复杂的道路环境中运行的高度自动化车辆至关重要。因此,越来越多地采用包含不同数据层的详细数字地图,例如高清地图。除了最基本的 3D 点云地图图层外,高清地图还可能包含具有道路拓扑、几何形状、占用率、车道特征、道路设施、道路规则、实时知识等信息的图层。在不损失准确性的情况下存储、更新和利用如此密集的数据是一项挑战。一些研究人员提出了“道路 DNA”的概念来表示道路环境并处理大数据问题 [ 12 , 204]. Road DNA 在不丢失细节的情况下将 3D 点云道路模式转换为压缩的 2D 道路视图 [ 12 ],目的是降低处理要求。
4.3. 估计偏差问题
SLAM估计漂移可能是由累积线性化误差、动态障碍物的存在、噪声传感器数据、错误的数据关联等引起的。
在大多数 SLAM 算法中,非线性模型用于表示车辆运动模式和环境。由于线性化误差的累积,EKF SLAM 存在发散问题。当使用远离真实值的状态变量值执行线性化时,可能会出现偏差。对于基于优化的 SLAM,变量的初始猜测不佳将导致收敛性能不佳。旋转可能是非线性的原因,对估计的发散有很大影响[ 205,206 ],因此累积的车辆方向误差将导致 SLAM 问题的不一致性。线性化挑战的一种解决方案是 [ 205]中提出的线性 SLAM 算法],修改相对状态向量,进行“map joining”。子图连接涉及解决线性最小二乘问题和执行非线性坐标变换,不需要初始猜测或迭代。在 [ 207 ]的工作中,提出了一种以机器人为中心的局部地图排序方法,该方法可以限制每个局部地图内的位置不确定性,并通过传感器不确定性水平约束提高线性化精度。已经提出了经典 EKF-SLAM 的许多变体来克服滤波器的发散。[ 208 ]的研究表明,Unscented SLAM可以提高大规模户外应用的在线一致性。黄等。[ 209] 为 EKF-SLAM 提出了两种替代方案,Observability Constrained EKF 和 First-Estimates Jacobian EKF,两者在准确性和一致性方面都明显优于 EKF。[ 210 ]中引入了线性时变(LTV)卡尔曼滤波,它通过创建虚拟测量来避免线性化误差。一些主要基于 PF 的非参数方法,如 fastSLAM [ 28]、Unscented fastSLAM [211、212、213、214 ],表现出比EKF-SLAM 更好的性能。
对于基于非线性优化的 SLAM 方法,计算一个好的初始猜测(解决初始化问题)将导致更快的收敛并降低收敛到局部最小值的风险。奥尔森等人。[ 215 ] 提出了一种使用随机梯度下降 (SGD) 变体优化位姿图的快速迭代算法,该算法对局部最小值具有鲁棒性,即使初始猜测不佳也能快速收敛。然后在 [ 50],提出了 Olson 算法的扩展,该算法对图中的节点使用基于树的参数化。该算法被证明比 Olson 的算法更有效,并且对初始配置更稳健。二维位姿图的近似解,称为位姿图优化的线性近似 (LAGO),可用作精确解或用于引导非线性技术[ 216、217 ]]. 该方法首先解决线性估计问题以获得次优方向估计,然后用它来估计全局参考系中的相对位置测量。最后,通过求解另一个线性估计问题得到位姿解。然后可以将此解决方案视为高斯-牛顿迭代的初始猜测。这种方法可以提供一个很好的初始猜测,但是,它仅限于 2D 位姿图,并且对噪声测量敏感。在[ 218]中提出了一种具有更复杂初始化的算法],它使用 M 估计器,特别是 Cauchy 函数,作为引导技术。类似于使用 M 估计器使估计对异常值具有鲁棒性的方法,M 估计器被证明对错误的初始猜测也具有鲁棒性。与 LAGO 和 TORO 相比,这种方法可以应用于 2D 和 3D 的不同 SLAM 变体(姿势图和基于特征的)[218 ]。卡隆等人。[ 219 ]调查了不同的 3D 旋转估计技术,并证明了良好的旋转估计对引导迭代位姿图求解器的重要性。最近的研究提出了一种称为多祖先空间近似树 (MASAT) 的启发式方法,它具有低复杂性和计算效率,无需初步优化步骤 [220 ]]. 此方法仍然适用于位姿图。其他研究试图通过引入惯性测量来支持初始化 [ 221、222 ] 或进行参数校准 [ 223、224、225 ]来获得良好的初始猜测。
行人、自行车、其他车辆等动态物体可能会导致估计漂移,因为系统可能会将它们错误地识别为静态道路实体。有一些方法可以避免这种情况。[ 226 ]中已经提出了使用概率红外强度值的概率图。在这项研究中,GNSS/INS 和 64 光束激光雷达传感器相结合,以在动态环境中实现 9 cm 的稳健位置 RMS 误差。然而,该系统具有高成本和高计算负担。3D对象跟踪器[ 227 ]可用于在视觉SLAM方法中跟踪移动对象。[ 228]中提出的另一种算法] 使用 Canny 的边缘检测器在树干的垂直方向上找到优势边缘,并选择这些树干作为典型的显着特征。越来越多地研究深度学习方法来处理上述动态环境[ 148、149、150、151、166、198 ] 。
漂移的另一个来源是传感器观测值中的异常值。每个传感器都有自己的误差源。例如,在相机的情况下,由于高速和光线条件差而导致的模糊图像可能导致地标的错误识别。激光雷达传感器对天气条件(如降雨)和道路环境的大变化非常敏感。GNSS 可能会受到信号阻塞。FDI(故障检测和隔离系统)技术可用于检测测量异常值并拒绝这些异常值对定位和定位的影响 [ 229 ]。
上述 SLAM 误差源也可能导致不正确的数据关联,这是将测量值关联到特定地标的重要过程。错误的数据关联不仅可能是由于传感器数据的噪声、不一致性、动态物体的错误检测等,还可能是由于某些特定的道路环境。例如,高速公路环境有时在视觉上是重复的并且包含许多相似的特征,这使得很难识别以前探索过的区域。
一些研究人员通过使用 RANSAC [ 230 ]直接在 SLAM 的前端步骤避免了错误数据关联的挑战,RANSAC通常用于视觉 SLAM 以拒绝异常值。在 [ 231 ] 中,作者提出了一个中间层,称为 Graph-Tinker (GTK),它可以检测和删除误报闭环。当使用 Extended Rauch–Tung–Striebel smoother 框架时,人工闭环然后被注入到位姿图中。
数据关联挑战也可以在后端步骤解决,因为仍然有可能无法完全消除异常值。可切换约束(SC)的概念在[ 232 ]中被引入,这样一个可切换变量被引入到每个闭环约束中。一旦约束被视为异常值,就可以在优化期间将其关闭。在[ 233 ]中,作者介绍了一种称为实现、反转和恢复(RRR)的算法,这是一种基于一致性的闭环验证方法。最近,Carlone 等人。[ 234 ]使用ℓ1_relaxation来选择“可靠”测量,Carlone和Calafiore[ 235] 使用凸松弛来解决非凸问题,而不需要对未知姿势进行初始猜测。表 2总结了 SLAM 漂移的潜在原因和相应的建议解决方案。
表 2. SLAM 漂移的潜在原因和解决方案。
4.4. 缺乏质量控制
SLAM 算法的定量评估是另一个重要的挑战。有一些评估 SLAM 算法的标准,例如它们的准确性、可扩展性、可用性、恢复性(即在大比例地图内定位车辆的能力)和可更新性。对 SLAM 算法的性能进行定量分析是必不可少的,因为它们可以提供数值评估和比较不同 SLAM 算法的基础。
估计精度是一种广泛使用的质量分析指标,但在自动驾驶实践中可能很困难。大多数方法通过使用例如精确地图将结果与地面实况进行比较来评估 SLAM 算法的性能。然而,很少有合适的地面实况图。有时,估计的地图是通过将其叠加到平面图上并搜索差异来评估的[ 238 ],这对于户外应用来说更难,需要人工干预[ 239 ]。Sturm 等人提出了两种流行的精度指标,即相对位姿误差 (RPE) 和绝对轨迹误差 (ATE)。[ 240] 它通过将估计的相机运动与真实轨迹进行比较来评估视觉 SLAM 系统,而不是进行复杂的地图比较。RPE 测量固定时间间隔内轨迹的局部精度,而 ATE 比较估计轨迹和地面真实轨迹之间的绝对距离,从而估计全局一致性。这两条轨迹应首先使用 Horn 方法 [ 240 ]对齐。根据 [ 240],RPE同时考虑平移误差和旋转误差,而ATE只考虑平移误差。这些指标已被 SLAM 社区广泛用于评估和比较不同的 SLAM 方法。然而,与地图类似,车辆轨迹在实际路面上的精确位置可能并不总是可用的。在[ 239 ]中,作者提出了一个框架,通过测量修正轨迹的误差来分析 SLAM 的准确性。车辆姿态的均方根误差(RMSE)通常用于指示SLAM轨迹估计结果的准确性。另一种广泛使用的质量分析方法是卡方 (χ 2 ) 检验。根据 [ 241 ],χ 2test 是一种统计测试,用于量化为地标测量和里程计误差提供的协方差矩阵的质量。当最小的 χ2误差几乎等于测量向量的维数与状态向量的大小之差时,该测量将被认为具有良好的质量[ 241 ]。
一些研究人员 [ 242、243、244 ]已经考虑了他们的 SLAM算法的一致性。根据[ 242 ],SLAM不一致的主要原因是由不正确的里程计模型和SLAM非线性函数的不准确线性化引起的累积误差。当估计误差超出不确定性时,可以认为估计结果不一致。EKF-SLAM 会遇到这样的不一致问题,除非围绕真实系统状态评估观察/里程计函数的雅可比矩阵。在 [ 30 ] 和 [ 245],使用度量指标归一化估计误差平方(NEES)定量确定了fastSLAM和EKF-SLAM算法的一致性。在[ 246 ]中,分析了滤波器错误状态模型的可观测性,以研究 EKF-SLAM 不一致的根本原因。在 [ 247 ]的工作中,通过对测量残差的加权和应用χ2检验来检查增量图 SLAM 的一致性。是否可以容忍不一致最终取决于SLAM结果的应用[ 19 ]。
还应检查定位、制图和导航系统输出的可靠性。然而,很少有研究对SLAM的可靠性进行定量分析。其他定位系统(如 GNSS、GNSS/INS)的一些可靠性研究可以作为指导 SLAM 社区的参考。系统可靠性可以被认为具有两个组成部分:内部可靠性和外部可靠性。前者确定系统检测故障的能力,该能力由最小可检测偏差 (MDB) 量化,并由可检测故障的下限表示。后者估计未检测到的故障对最终解决方案的影响 [ 175 , 248 , 249 , 250 , 251]. MDB 值越低,系统越可靠。同样,SLAM系统特征观测模型和车辆运动模型的可靠性也可以通过这些方法进行评估。
完整性非常重要,因为它是本地化系统提供的信息“可信度”的指标,可以及时警告不准确造成的风险 [252 ]。完整性度量用于量化本地化安全的要求。该概念首先在航空领域确立,也适用于陆地车辆定位[ 253]. 由于自动驾驶对安全性的严格要求,自动驾驶研究者对完整性的关注度越来越高。自动驾驶汽车的定位和导航是基于多个传感器的使用,因此传统的 GNSS 完整性分析方法应该得到扩展。故障检测和隔离 (FDI) 是最流行的基于 GNSS定位的警报生成方法之一 [ 229、254、255、256 ]。
5. 基于激光雷达/GNSS/INS 的测绘和定位:案例研究
基于激光雷达的同步定位和建图 (SLAM) 技术方法在机器人领域得到广泛研究和应用,因为激光雷达可以生成非常密集的 3D 点云,具有快速传感速率和高精度。通常 SLAM 系统会经历随着行进距离增加而增加的估计误差,因此需要“闭环”来纠正误差。然而,在一些大规模的自动驾驶户外应用中,例如在高速公路上行驶,或者在城市地区进行复杂的轨迹行驶,闭环是很难实现的。此外,仅限激光雷达的 SLAM 将仅提供相对定位信息。因此,GNSS/INS与激光雷达SLAM的结合将有效降低对闭环的依赖,提供绝对定位信息。
此外,当 GNSS 信号不可用时,激光雷达系统还可以支持使用现有的高清地图进行定位。此处测试了结合激光雷达、GNSS 和 INS 的现代化 SLAM 程序。该程序包含两部分:基于激光雷达/GNSS/INS 的离线测绘部分,以及基于激光雷达/高清地图的在线定位和测绘部分。
5.1. 实验设置
在澳大利亚悉尼的一些市区进行了陆地车辆测试,以测试拟议的 Lidar/GNSS/INS 多传感器系统。该车辆配备了一个 VLP-16 LiDAR 传感器、一个战术级 IMU 传感器和两个来自美国加利福尼亚州圣何塞的 PolyExplore, Inc. 的 GNSS 天线(图 5 )。第二根天线可用于为在线定位系统提供双天线辅助航向更新。激光雷达的采样率为 10Hz,GNSS 的采样率为 1Hz,IMU 为 100Hz。
图 5. 实验平台:( a ) 多传感器系统,( b ) 安装在车辆内的系统侧视图。
路试轨迹如图6a所示。车辆从位于肯辛顿的新南威尔士大学(UNSW)校园开往La Perouse(Section A),然后返回UNSW(Section B)。在本研究中,前向旅程(从 UNSW 到 La Perouse)用于生成道路的高精度 3D 点云地图,而后向旅程(从 La Perouse 到 UNSW)用于测试激光雷达/基于3D点云地图的定位方法。
图 6. ( a ) 谷歌地图上的道路测试轨迹(蓝色);( b ) 局部坐标系中具有 RTK 定位状态的整个轨迹的 GNSS/INS 定位。
为了对定位性能进行定量分析,选择了轨迹的三个部分(图 6 b)。对于行驶轨迹上的每个选定路段,前向行程和后向行程的 GNSS-RTK 状态均为“整数模糊固定”。因此,离线建图结果预计在 5 厘米左右的水平上是准确的。对于回程(从 La Perouse 到 UNSW),所选路段将有准确的 GNSS/INS 定位结果作为参考,以评估基于激光雷达/3D 点云地图的定位方法的性能。
5.2. 激光雷达/GNSS/INS 制图
获取的前进旅程数据集(从 UNSW 到 La Perouse)用于生成道路环境的地理参考点云图。地理参考地图是使用激光雷达里程计帧到帧匹配和 GNSS/INS 定位/姿态生成的。图 7显示了离线地图系统架构的概览。
图 7. 激光雷达/GNSS/INS 测绘系统架构概览。
GNSS/INS系统可以提供大地定位和姿态信息。由于此地图生成是离线执行的,因此可以获得最佳 GNSS/INS 轨迹。GNSS/INS 导出的位置和姿态结果用作逐帧匹配的初始值,以将新合并的点云传输到参考帧。这样,点云就可以进行地理配准。当 GNSS 结果不可用时,惯性导航 6-DOF 姿态结果可用于在重新获取 GNSS 信号之前生成初始转换。在进行激光雷达测距时,使用正态分布变换 (NDT) 扫描匹配算法将每个当前帧与前一帧进行匹配,初始变换信息由 GNSS/INS 提供。图8),匹配前通过无损检测提高配准精度。
图 8. 激光雷达扫描框架的扫描视图 ( a ) 原始扫描视图;( b ) 预处理后的视图。
图 9显示了匹配前的两个扫描视图。看起来这两个扫描视图在特征上略有不同。可以生成来自两个扫描视图的匹配点云(图 10)。
**图 9.**用于扫描匹配 的两个有序激光雷达扫描帧(( a ) 先前扫描帧;( b ) 当前扫描帧)的扫描视图。
图 10. 匹配两个排序的激光雷达扫描帧后生成的地图点云。
通过对所有可用的激光雷达扫描依次进行激光雷达测距,可以将新匹配的点云与先前生成的点云地图合并,可以获得整个轨迹的累积地图并进行地理配准,如图 11所示。
图 11. 从 UNSW 到 La Perouse 的全球地理参考路线图(框架:ECEF,单位:米)来自基于 3D 点云的地图。
通过放大图 11,可以看到道路地图的细节,并且可以将其对应的真实世界道路视图与 Google Earth 图像进行比较(因为该地图是地理参考的)。图 12显示了此生成地图的一个放大部分与 Google Earth 中相应视图的比较。
图 12. ( a ) 生成的地图和 ( b ) 同一位置的 Google 地球视图 的一部分。
这张生成的地图很好地展示了道路环境的结构,包括道路边缘、建筑物、树木和沿路停放的车辆。
三个坐标已知的控制点位于 UNSW Scientia Lawn 周围。这些控制点可用于评估生成的点云的准确性。通过将地图内已识别控制点的坐标与实际已知位置进行比较,发现 X、Y 和 Z 轴上的差异约为 2-8 厘米。因此,离线生成的地图精度被认为是5厘米。
5.3. 使用激光雷达扫描和 GeoReferenced 3D 点云地图匹配进行定位
根据 A 部分(从 UNSW 到 La Perouse 的前向旅程)的数据生成的地理参考 3D 点云地图可以用于支持 B 部分(从 La Perouse 到 UNSW 的后向旅程)的基于激光雷达的定位,方法是匹配激光雷达扫描到地图。基于在线激光雷达/3D 地图匹配的定位方法的过程如图 13所示. INS 用于支持基于激光雷达/3D 地图的在线定位。为了显示不同融合级别的性能,研究了两种融合方法。第一种方法简单地利用 IMU 作为辅助传感器,直接使用 INS 解决方案作为扫描/地图匹配的初始信息。第二种融合方法是一种紧耦合方法,它不仅使用 INS 解决方案来支持匹配,而且还包含一个基于 EKF 的错误状态更新步骤,可增强惯性导航性能。
图 13. 拟议的基于激光雷达/3D 地图匹配的定位系统架构概述。( a ) 方法一:融合IMU作为辅助传感器;( b ) 方法 2:使用基于 EKF 的紧耦合方法融合 IMU。
方法2由两部分组成:扫描匹配和EKF融合。首先,如果惯性导航信息不可用,可以使用帧到帧激光雷达里程计来支持定位。在初始化错误状态 EKF 后,惯性导航估计的位姿将为当前激光雷达扫描帧提供一个粗略的位姿,并且可以关闭激光雷达里程计以降低计算负荷。利用INS提供的粗略位置,从预先生成的全局地图中搜索选择局部地图,提高匹配效率。当前激光雷达框架和本地地图之间基于无损检测的扫描匹配是通过基于惯性的初始变换矩阵进行的。可以获得激光雷达估计的车辆姿态。如果需要,还可以生成新的实时路线图。
得到激光雷达位姿后,可以得到激光雷达位姿与惯性传播位姿的差值,通过误差状态EKF估计惯性导航信息内的误差,然后反馈给惯性系统,改进位姿结果和偏差估计。当有 GNSS 信息时,如 RTK 定位结果,也可用于修正惯性导航信息,以提高定位系统的准确性和可靠性。
对于激光雷达、INS 和GNSS的数据融合,当前的一些工作提出使用基于图优化的方法来生成最优定位和建图解决方案[ 179、257、258、259]. 然而,其中一些经过后处理或高度依赖 GNSS 数据来减轻导航漂移,甚至忽略 IMU 偏差。由于对于我们基于在线激光雷达/地图匹配的定位方法,可靠的惯性导航解决方案对于为扫描/地图匹配过程提供良好的初始化以及提高本地地图搜索和选择的效率和准确性至关重要,及时的 IMU偏差校正至关重要,使用 EKF 更容易实现。由于我们的测试是在 GNSS 信号经常丢失的市区进行的,因此对 IMU 状态的反馈也应取决于激光雷达数据,尤其是在 GNSS 中断期间。此外,估计不确定性是分析系统解决方案的重要参数,很少在基于图的方法中估计,但可以通过 EKF 方法直接估计。因此,在我们当前的方法 2 中,EKF 方法用于融合激光雷达/地图定位、GNSS 和惯性导航结果。方法 1 和方法 2 的比较还突出了将 IMU 传感器用作单独的辅助传感器和用作紧密耦合的辅助传感器之间的区别。
5.3.1. 激光雷达/3D 地图定位系统的估计结果
由于本次城市道路测试没有地面实况信息,因此将基于激光雷达/地图匹配的解决方案与三个选定轨迹段内的 GNSS/INS 解决方案进行比较(图 14),在此期间 RTK 状态为“模糊固定” ”(图 6b)。
图 14. 所提出的基于激光雷达/地图匹配的定位方法与参考 GNSS/INS 定位方法在三个轨迹部分的坐标差异。( a ) 方法一:融合IMU作为辅助传感器;( b ) 方法 2:使用基于 EKF 的紧耦合方法融合 IMU。红色和绿色框表示具有不同时间戳的坐标差异较大的时代。
表 3显示了基于激光雷达/地图匹配的定位与参考 GNSS/INS 定位结果之间的比较。对于方法一,结果差异在零附近波动,它们的平均值在厘米到分米级别。所有三个部分的标准偏差都在 0.1-0.2 m 左右,因此我们将大于 0.6 m 的坐标差异视为可能的异常值。具有异常值的 epoch 约占总测试数据的 1.7%,这意味着异常值的存在很少见。异常值的可能原因将在下一节中讨论。对于方法 2,结果具有更好的准确性。标准偏差在0.05 m左右,远低于方法1。从图14可以看出,在方法 1 显示可能的异常值期间,方法 2 与参考值的差异较小,这表明紧耦合方法对异常值的鲁棒性比简单地使用 INS 解决方案进行初始化要强。
表 3.对于图 14 中的轨迹部分 1、2 和 3,基于激光雷达/地图匹配的定位与参考 GNSS/INS 定位结果之间差异的平均值和标准偏差。(a) 方法一:融合IMU作为辅助传感器;(b) 方法 2:使用基于 EKF 的紧耦合方法融合 IMU。
5.3.2. 数值结果的质量分析
检查具有大跳跃的时期(例如图 14中的“红色和绿色框”期间)的测量细节,以调查检测到的异常值的可能原因。对于图 14中的 Trajectory Section 1 (红框),通过方法 1 发现在绕环岛行驶时,存在一些较大的异常值。Lidar/map 系统和 GNSS/INS 解决方案围绕该环岛的轨迹及其Google 地图中的视图如图 15所示。可以看出,GNSS/INS 解决方案(图 15黄线)在该区域更平滑,因为 GNSS 整数模糊度是“固定的”,而如果仅使用 IMU 作为简单助手,激光雷达/地图解决方案与参考轨迹有一些差异(方法 1,图 15 蓝线)。
图 15. 基于激光雷达/地图匹配的定位方法 1(蓝色)、方法 2(红色)和 GNSS/INS 定位(黄色)的轨迹:( a ) Google 地图中的视图;( b ) 在环岛周围的局部坐标系中查看。
图 16显示了该环岛的地图视图。可以看出,道路驾驶侧的预生成地图结构不是很清晰,因为它缺少轨迹周围的特征。回旋处位于旅游景点的停车场。该地区周围没有建筑物,树木也很少。由于测试是在晚上进行的,因此可以用作特征的停放车辆并不多。因此,匹配步骤的质量可能较差,从而导致定位精度下降。
图 16. ( a ) 生成的地图和 ( b ) 环岛周围相同位置的 Google Earth 视图 的一部分。
图 17显示了此时距离阈值为 20 m 的激光雷达扫描视图,可以看出该激光雷达扫描没有太多可用的特征,尤其是在预处理之后。当轨迹部分 1(绿色框)中出现另一组异常值时,可以找到具有较少特征的类似道路环境,如图14所示。在这种情况下,扩展范围阈值可以通过包含更多特征来提高准确性,但是,它会增加计算负担并受到更多异常源的影响。通过更紧密地融合 IMU 来合并惯性运动模型可能会使定位系统对这种无特征的条件更加稳健(图 15红线)。
图 17. 环岛周围轨迹部分 1 中具有大异常值的纪元 40,647 s 的扫描帧(( a ) 原始扫描视图;( b ) 预处理后的视图)。
异常值的另一个主要来源是主车辆周围的其他移动实体。图 18、图 19和图 20显示了在定位阶段存在较大异常值时的激光雷达视图。
图 18. 轨迹部分 2 中具有大异常值的历元 40,854 s 的扫描帧:后面的车辆正在驶向另一条道路,( a ) 激光雷达扫描;( b ) 谷歌地球视图。
图 19. 轨迹部分 2 中具有大异常值的历元 40,888 s 的扫描帧,检测到对向驾驶车辆,( a ) 激光雷达扫描;( b ) 谷歌地球视图。
图 20. 轨迹第 3 节中具有大离群值的历元 41,103 s 的扫描帧,一辆高大的公共汽车驶过 ( a ) 激光雷达扫描;( b ) 谷歌地球视图。
无论其他移动车辆是在道路的同一侧还是在道路的另一侧,这样的移动车辆都会影响基于激光雷达/地图匹配的定位的质量。当移动车辆与本车在道路同一侧时,最初检测到或与本车速度不同,或转弯行驶到另一条道路时,都会导致错误估计。这将使该车辆不再被检测到(图 14轨迹部分 2 和图 18中的红色框)。
一旦宿主车辆检测到对面行驶的车辆,定位估计误差可能达到 1-1.5 m(图 14轨迹部分 2 和图 19中的绿色框)。
移动元素的类型也会影响异常值的存在。大多数时候,垂直位置估计受移动元素的影响较小。但是,勾选Trajectory Section 3(图14 )中的红框,可以发现垂直方向的差异远高于其他部分。通过查看激光雷达视图的细节,发现在那个路段,一辆高大的公共汽车从主车辆旁边驶过(图 20 ),这意味着当前激光雷达扫描和预先生成的地图之间的垂直差异可能导致一些系统的垂直偏差。
道路环境中的移动物体将是测量异常值的主要来源,因为系统将预先生成的地图视为固定参考地图。因此,如果有任何移动物体导致预生成地图和当前扫描帧的结构不同,就会出现异常值。移动物体,例如其他车辆,可能存在于先前的道路测绘阶段和当前的道路扫描中以用于定位。对于离线高清地图生成步骤,应仔细识别并从静态 3D 点云地图中删除此类移动对象。对于在线步骤,可以基于清洁的预生成地图来识别和删除移动对象,或者直接使用传感器数据实现语义分割。166 ] 可以区分基于 CNN 的运动和静止物体。因此,可以去除可能检测到的移动物体,或者可以将可能的道路环境变化更新到全局地图中,以提高未来在同一道路路径上行驶的准确性。这些方法可以在感知步骤中进行。一些数值质量控制方法的帮助也可能有助于在定位和建图步骤中完成这项任务,例如 FDI 方法,或离群点检测和识别方法,它可以直接估计和减轻来自各种资源的离群点的影响,不仅是移动异常值,还有其他传感器或模型故障。
一些FDI方法或完整性监测方法[ 255 , 256 ]已经成功应用于EKF框架下的GNSS/INS集成系统。由于在本案例研究中,EKF 方法用于融合激光雷达/地图定位结果和 INS 姿势以生成高频精确姿势解决方案,因此这些质量控制方法也表明了该定位系统的潜力。这将是未来的研究课题。
6、结论
本文简要回顾了不同的 SLAM 方法及其特点。SLAM 已成为自动驾驶中定位、建图、规划和控制的关键方法。它显示了在为自动驾驶和道路环境中的车辆定位生成高分辨率地图方面取得了可喜的进展。已经确定了不同 SLAM 技术的优点和缺点,并讨论了它们在自动驾驶中的应用。
定位和导航算法的可信度是自动驾驶的一个重要问题。有许多挑战限制了 SLAM 技术的性能,从而影响定位和导航结果的安全性。本综述中提到了这些具有挑战性的问题和可能的解决方案。此外,为了确保安全性,应从准确性、一致性、精确性、可靠性和完整性等方面对算法的性能进行定量评估。简要讨论了评估这些质量的方法。
进行了真实世界的道路测试,以演示 SLAM 在具有多传感器集成的自动驾驶中的应用。数值结果表明,GNSS/INS 辅助激光雷达系统可以生成地理参考高密度点云地图。这张预先生成的地图可以用来支持在线定位,已经达到了厘米级的精度。这种基于激光雷达/地图匹配的定位方法也可用于在 GNSS 信号不可用期间支持自动驾驶系统,这使其适用于市区驾驶。IMU 测量值的更紧密耦合融合将使基于激光雷达/地图的定位比简单地利用惯性解决方案作为辅助信息更准确和对异常值更稳健。
未来的研究应该集中在如何检测移动实体并减轻它们在 3D 点云建图和定位过程中的影响。此外,应研究此类基于激光雷达/GNSS/INS 的车辆定位和绘图系统的完整性监控程序。
—END—高效学习3D视觉三部曲
第一步 加入行业交流群,保持技术的先进性
目前工坊已经建立了3D视觉方向多个社群,包括SLAM、工业3D视觉、自动驾驶方向,细分群包括:[工业方向]三维点云、结构光、机械臂、缺陷检测、三维测量、TOF、相机标定、综合群;[SLAM方向]多传感器融合、ORB-SLAM、激光SLAM、机器人导航、RTK|GPS|UWB等传感器交流群、SLAM综合讨论群;[自动驾驶方向]深度估计、Transformer、毫米波|激光雷达|视觉摄像头传感器讨论群、多传感器标定、自动驾驶综合群等。[三维重建方向]NeRF、colmap、OpenMVS等。除了这些,还有求职、硬件选型、视觉产品落地等交流群。大家可以添加小助理微信: dddvisiona,备注:加群+方向+学校|公司, 小助理会拉你入群。
第二步 加入知识星球,问题及时得到解答
针对3D视觉领域的视频课程(三维重建、三维点云、结构光、手眼标定、相机标定、激光/视觉SLAM、自动驾驶等)、源码分享、知识点汇总、入门进阶学习路线、最新paper分享、疑问解答等进行深耕,更有各类大厂的算法工程人员进行技术指导。与此同时,星球将联合知名企业发布3D视觉相关算法开发岗位以及项目对接信息,打造成集技术与就业、项目对接为一体的铁杆粉丝聚集区,6000+星球成员为创造更好的AI世界共同进步,知识星球入口:「3D视觉从入门到精通」
学习3D视觉核心技术,扫描查看,3天内无条件退款
第三步 系统学习3D视觉,对模块知识体系,深刻理解并运行
如果大家对3D视觉某一个细分方向想系统学习[从理论、代码到实战],推荐3D视觉精品课程学习网址:www.3dcver.com
工业3D视觉方向课程:
SLAM方向课程:
[1]如何高效学习基于LeGo-LOAM框架的激光SLAM?
[1]彻底剖析激光-视觉-IMU-GPS融合SLAM算法:理论推导、代码讲解和实战
[2](第二期)彻底搞懂基于LOAM框架的3D激光SLAM:源码剖析到算法优化
[3]彻底搞懂视觉-惯性SLAM:VINS-Fusion原理精讲与源码剖析
[4]彻底剖析室内、室外激光SLAM关键算法和实战(cartographer+LOAM+LIO-SAM)
视觉三维重建
[1]彻底搞透视觉三维重建:原理剖析、代码讲解、及优化改进)
自动驾驶方向课程:
[3]面向自动驾驶领域的3D点云目标检测全栈学习路线!(单模态+多模态/数据+代码)
[4]如何将深度学习模型部署到实际工程中?(分类+检测+分割)
1161

被折叠的 条评论
为什么被折叠?



