1. 非线性控制系统
线性控制系统: 由线性元件组成,输入输出具有叠加性和齐次性性质。
非线性控制系统: 系统中有非线性元件,输入输出间不具有叠加性和齐次性性质。
非线性系统的特征:非线性系统的特征、稳定性问题、稳定性问题、频率响应畸变
常见的非线性特性:继电、死区、饱和、间隙和摩擦
2. 非线性控制系统的分析方法
非线性控制系统的分析方法:1.相平面法 2.描述函数法 3.逆系统方法
相平面法:推广应用时域分析法的一种图解分析方法,仅适用于一阶和二阶系统。
描述函数:当系统满足一定假设条件时,系统中非线性环节在正弦信号作用下的输出可用一次谐波分量来近似,由此导出非线性环节的近似等效频率特性,即描述函数。
基于频域分析法和非线性特性谐波线性化的一 种图解分析方法。
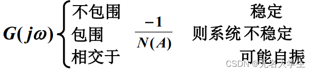
3. 非线性系统的稳定性分析


非线性控制系统包含非线性元件,导致输入输出的非线性特性。其分析方法包括相平面法、描述函数法和逆系统方法。相平面法适用于一阶和二阶系统,描述函数法则通过近似非线性环节的频率特性进行分析。非线性系统的稳定性分析是关键,涉及到系统行为和性能的研究。
1656

被折叠的 条评论
为什么被折叠?



