
©PaperWeekly 原创 · 作者 | 苏剑林
单位 | 月之暗面
研究方向 | NLP、神经网络
正如 “XXX is all you need” 一样,有不少论文都以“简单得令人尴尬”命名(An Embarrassingly Simple XXX),但在笔者看来,这些论文大多数都是噱头多于实力。不过,笔者最近阅读到的一篇论文,真的让人不由得发出“简单得令人尴尬”的感叹~
论文的标题是《Finite Scalar Quantization: VQ-VAE Made Simple》[1],顾名思义,这是一篇旨在用 FSQ(Finite Scalar Quantization)简化 VQ-VAE 的工作。随着生成模型、多模态 LLM 的逐渐流行,VQ-VAE 及其后续工作也作为“图像的 Tokenizer” 而“水涨船高”。然而,VQ-VAE 的训练本身也存在一些问题,而 FSQ 这篇论文则声称通过更简单的“四舍五入”就可以达到同样的目的,并且有着效果更好、收敛更快、训练更稳的优点。
FSQ 真有这么神奇?接下来我们一起学习一下。

VQ
首先,我们来了解一下 “VQ”。VQ 全称是 “Vector Quantize”,可以翻译为“向量量子化”或者“向量量化”,是指将无限、连续的编码向量映射为有限、离散的整数数字的一种技术。如果我们将 VQ 应用在自编码器的中间层,那么可以在压缩输入大小的同时,让编码结果成为一个离散的整数序列。
假设自编码器的重构损失能够让我们满意,那么这个整数序列就是原始图像的等价物,所有关于原始图像的操作都可以转化为整数序列上的操作。比如我们想训练图像生成模型,就只需要训练整数序列生成模型,而这跟本文生成等价,所以我们可以用它来训练一个 GPT,模型和流程都跟文本一模一样,训练完成后,我们就可以从 GPT 模型中采样整数序列,然后送到解码器中得到图像,从而完完成了图像生成模型的构建。
说白了,“VQ +自编码器”将任意输入都转化为跟文本一致的整数序列,统一了不同模态数据的输入形式,同时也统一了它们的处理和生成模型。
而这样的一个带有 VQ 功能的自编码器,就被称为 “VQ-VAE”。

AE
早在四年前的文章《VQ-VAE的简明介绍:量子化自编码器》[2] 中我们就介绍过了 VQ-VAE,尽管被冠以 “VAE(Variational AutoEncoder)”之名,但它实际上跟 VAE 没啥关系,如上一节所说,它只是一个带有 VQ 功能的 AE(AutoEncoder)。
既然是 AE,那么有 encoder 和 decoder,一个普通的 AE 是这样的:

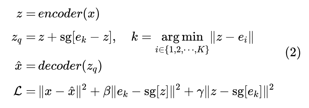
VQ-VAE 则稍微复杂一些:

让我们来逐步解释一下。首先,第一步是相同的,输入 到 encoder 中,输出编码向量 。然而,我们并不是直接将 输入到 decoder 中,而是先维护一个编码向量表 (Codebook),从中选取与 最相近的一个 送入到 decoder 中进行重构 。由于编码表是有限的,所以我们也可以将实际的编码结果理解为一个整数(即与 最相近的 的 &

FSQ(Finite Scalar Quantization)是一种简化VQ-VAE的方法,通过“四舍五入”实现向量量化,解决了VQ-VAE的训练问题,提供更快的收敛速度和更稳定的效果。FSQ的优势在于其简洁的实现,但可能在编码表大小较小时效果不如VQ-VAE。FSQ的适用性取决于模型的复杂度和编码表大小。
最低0.47元/天 解锁文章
744

被折叠的 条评论
为什么被折叠?



