目录
高阶导数与导数判断单调性
高阶数导
高阶数导数是指对一个函数进行多次求导的过程。在微积分中,我们可以对一个函数进行一次、两次或更多次的求导操作,得到对应的一阶导数、二阶导数、三阶导数等等。
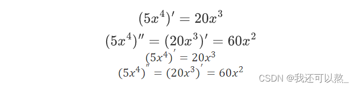
设函数f(x)具有各阶导数,那么函数f(x)的n阶导数(n ≥ 1)可以通过对f(x)的一阶导数再次求导得到。一阶导数常用记号为f'(x),二阶导数记为f''(x),三阶导数记为f'''(x),依此类推。
以一阶导数为例,设函数f(x)在某个区间上可导,那么f(x)的一阶导数f'(x)可以通过求极限的方式得到:
f'(x) = lim┬(h→0)〖(f(x+h)-f(x))/h〗
其中,h表示一个趋近于0的实数。
类似地,二阶导数f''(x)可以通过对一阶导数f'(x)再次求导得到,即:
f''(x) = (f'(x))'
这个过程可以一直进行下去,得到函数的任意阶导数。
示例:

导数判断单调性
通过判断函数的导数在某个区间是否大于0,就可以判断原函数的单调性
- 函数的导数大于0,原函数是单调增的
- 函数的导数小于0,原函数是单调减的

常用方法
首先,找到函数的一阶导数。一阶导数描述了函数在不同点上的斜率。可以使用求导规则来计算导数。
根据一阶导数的符号来判断函数的单调性。在一个区间上,如果一阶导数恒大于零(正导数),则函数在该区间上是递增的;如果一阶导数恒小于零(负导数),则函数在该区间上是递减的。
对于函数在给定区间上的临界点(导数为零或未定义的点),需要额外的分析。在临界点上,函数可能存在极大值、极小值或拐点。可以通过求解一阶导数为零的方程来找到这些点,并通过二阶导数或其他方法来进一步判断。
如果一阶导数在某个点上不变号(从正变为负或从负变为正),则函数在该点处可能存在极值或拐点。可以使用二阶导数或其他方法进行验证。
如果函数的一阶导数在整个区间上恒大于零或恒小于零,那么函数在该区间上是严格递增或严格递减的。
函数的极值
极值定义
极大值:在函数的某一点或某些点上取得的最大函数值称为极大值。如果在某个点上的函数值比其邻近的点都大(或相等),那么该点就是函数的极大值点。极大值点可能是局部最大值(在某一小区间上最大)或全局最大值(在整个定义域上最大)。
极小值:在函数的某一点或某些点上取得的最小函数值称为极小值。如果在某个点上的函数值比其邻近的点都小(或相等),那么该点就是函数的极小值点。极小值点可能是局部最小值(在某一小区间上最小)或全局最小值(在整个定义域上最小)。
- 极大值和极小值统称为函数的极值
- 极大值点和极小值点统称为函数的极值点
极值点通常是函数曲线上的局部特征,表示函数在某个点上取得了极端的值。极值点可以帮助我们分析函数的行为,包括确定函数的单调性、拐点和特殊形状等。
要找到函数的极值点,通常需要计算函数的导数,并分析导数的零点和变号情况。对于连续可导的函数,极值点通常出现在导数为零的点或导数不存在的点。然后,通过二阶导数或其他方法判断这些临界点是否为极值点。进一步的分析可能涉及到高阶导数、图像分析和区间测试等技巧。
注意
函数的极值是一个局部概念,它只是在极值点附近的所有点的函数值相比较而言的!
找到极值的方法
-
找到函数的一阶导数。使用求导规则计算函数的一阶导数。
-
解一阶导数为零的方程。将一阶导数等于零的方程进行求解,找到所有满足这个条件的临界点(也称为驻点)。
-
找到函数的二阶导数。计算函数的二阶导数。
-
对临界点进行分类:
- 如果二阶导数在某个临界点处的值为正,则该临界点是函数的极小值点。
- 如果二阶导数在某个临界点处的值为负,则该临界点是函数的极大值点。
- 如果二阶导数在某个临界点处的值为零或二阶导数不存在,则需要进行进一步的分析。
-
对于无法确定的临界点,可以使用其他方法进行判断:
- 使用高阶导数:计算临界点处的高阶导数来判断是否为极值点。
- 使用图像分析:绘制函数的图像,观察函数在临界点附近的曲线形状,判断是否为极值点。
- 使用区间测试:在临界点左右选取一些点进行函数值的比较,判断局部极值。
极值定理
设函数f(x)在点x₀处具有导数,且x₀是极值点,则函数在点x₀处的导数必为零,即f'(x₀)=0.
注意
导数等于0处不一定是极值!

上图中,y=x^3^在x=0处的导数等于0,但x=0处对应的值并不是极值。
事实上,y=x^3^是一个单调递增函数,因此没有极值。
二阶导数判断凹凸性_泰勒展开式
函数的凹凸性
为了研究函数曲线的弯曲方向,引入了“凹凸性”的概念
- 如果连接曲线上任意两点的割线段都在该两点间的曲线弧之上,那么该段曲线弧称为凹的,反之则为凸的。

- 设f(x)在[a,b]上连续,在(a,b)内具有二阶导数
若函数f(x)在(a,b)内有f''(x)>0,则函数曲线在[a,b]上是凹的;
若函数f(x)在(a,b)内有f''(x)<0,则函数曲线在[a,b]上是凸的;
例如:x^2^的二阶导数是2,恒大于0,所以在其定义域内是凹的。
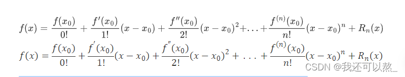
泰勒公式
泰勒公式(Taylor series)是一种将一个函数表示为一系列无穷多个项的级数展开的方法。它在数学和物理等领域中广泛应用,可以用来逼近和近似各种类型的函数。
泰勒公式的一般形式如下:
f(x) = f(a) + f'(a)(x - a)/1! + f''(a)(x - a)²/2! + f'''(a)(x - a)³/3! + ...
其中,f(x)是待展开的函数,a是展开点,f(a)是函数在展开点处的函数值,f'(a)是函数在展开点处的一阶导数值,f''(a)是函数在展开点处的二阶导数值,依此类推。n!表示n的阶乘。
泰勒公式中的每一项都是函数在展开点附近的某个导数值与(x - a)的幂的乘积,按照幂的顺序递增。级数展开的思想是将函数近似为多项式,使得当x接近展开点a时,级数的前几项可以有效逼近原函数的值。
泰勒公式的具体形式和适用范围取决于函数的性质和展开点的选择。常见的泰勒展开包括一阶泰勒展开(也称为一阶近似或线性近似)和二阶泰勒展开(也称为二阶近似或二次近似),更高阶的展开可以提供更精确的逼近。
- 泰勒展开是通过多项式函数来近似一个可导函数 f(x),在 x=x~0~ 处进行泰勒展开
- 很多时候函数 f(x)可能会非常复杂,这时可以使用泰勒展开做一个近似
- 一元函数泰勒展开
函数 f(x)在含 x~0~ 的某个开区间 (a,b)内具有直到 n 阶导数,则对任意的 x∈(a,b)有

其中,x~0~是泰勒公式的展开点,R~n~(x)是泰勒公式的余项。
2007

被折叠的 条评论
为什么被折叠?



