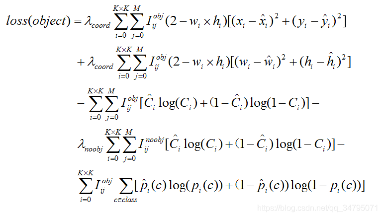
该损失函数是根据源码进行写的,与keras、pytorch等版本的V3损失函数不相同,欢迎各位小伙伴一起讨论交流:

提升针对小物体的小技巧:针对 YOLOv3来说,regression损失会乘一个(2-w*h)的比例系数,w 和 h 分别是ground truth 的宽和高。如果不减去 w*h,AP 会有一个明显下降。如果继续往上加,如 (2-w*h)*1.5,总体的 AP 还会涨一个点左右(包括验证集和测试集),大概是因为 COCO 中小物体实在太多的原因。。。(这里提到的希望大家自己去验证)
博客介绍了一种不同于keras、pytorch版本的YOLOv3损失函数。还分享了提升小物体检测的技巧,即regression损失乘(2 - w*h)比例系数,不减去w*h会使AP下降,增大系数总体AP还会提升,因COCO中小物体多,建议自行验证。
2203





