01 强化学习——策略梯度法(Policy Gradient PG)(离散动作)

本文介绍了策略梯度法在强化学习中的定位和作用,详细阐述了策略的参数化表示,特别是针对离散动作的情况。通过数学公式解析了策略梯度的目标、误差和梯度计算,探讨了基线的概念以确保公平性,并提到了在代码实现中采用的损失函数neg_log_prob。

一、来源和定位

1.1 PG算法在强化学习方法中的定位

策略梯度是基于策略搜索方法中最基础的方法,要理解AC,DDPG需要先学习策略梯度。

策略梯度方法就是将策略参数化,寻找最优的参数,使总体收益最大。关键在如何将策略参数化。

 

1.2 策略梯度直观理解

策略的表示

一般将策略表示为状态的函数:

对于离散动作来说是一种随机分布:,随机策略参数化即为参数化这种分布。

对于连续动作来说是随机高斯策略,用高斯策略来表示这种分布,参数化的方法为参数化高斯分布的均值和方差。

策略梯度是将智能体的策略转换成参数的非线性函数,通过寻优参数找到函数的最值,从而使回报值最大。如下图所示,假设有三条路径(每一条路径理解为一个策略\tau)回报分别为1,3,-1.最直观的做法是尽量选择第二条路径,即增加该策略的概率,使最终的回报最大。

二、问题数学表示

2.1 误差

主要思想是使最终的回报最大,即一个完成的交互episode(从初始状态到最终状态的一个策略\tau)。

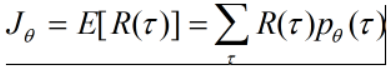
目标:【一条完整的episode的回报期望最大】

要使该目标最大,则参数\theta的更新方向为梯度上升的方向。

此公式中有两点需要注意,第一是上式第三行的变换\begin{array}{l} \nabla f(x)= \quad f(x) \nabla \log f(x) \end{array},该方法在梯度中经常使用,直接记住即可,第二是最后一等式的变换,p(\tau)是概率,与累加和可以看成是求后面部分的期望

策略\tau产生的轨迹如下:

评论 7
添加红包

请填写红包祝福语或标题

红包个数最小为10个

红包金额最低5元

当前余额3.43前往充值 >
需支付:10.00
成就一亿技术人!
领取后你会自动成为博主和红包主的粉丝 规则
hope_wisdom
发出的红包
实付
使用余额支付
点击重新获取
扫码支付
钱包余额 0

抵扣说明:

1.余额是钱包充值的虚拟货币,按照1:1的比例进行支付金额的抵扣。
2.余额无法直接购买下载,可以购买VIP、付费专栏及课程。

余额充值