文章目录
微分方程可以粗略地分为常微分方程(ODE)和偏微分方程(PDE),常微分方程只有一个自变量,这个自变量通常为时间;偏微分方程则有多个自变量
1. 一些定义
1.1 Order
偏微分中最高阶导数的阶(Order)就是偏微分的阶

图中三个偏微分方程的阶都是3,可以看到,红色部分的阶就是最高阶
1.2 Degree
偏微分方程最高阶导数的指数,即为这个方程的degree

上图的degree为5

这里虽然有更高的指数,但注意我们取的是最高阶导数的指数,所以是4
1.3 Linear
如果一个偏微分方程的系数都是自变量或常数,即所有的未知函数和偏导数都是线性的,则称其为线性偏微分方程,示例如下:

相反,如果有非线性的偏导数,那么它就不是线性的,示例如下:

1.4 Homogeneous
我们称一个所有项的degree都相同的偏微分方程为齐次偏微分方程,注意,这里的项要和1.2中提到的区分开来,在这里,一个项的degree不是只看最高阶导数的,示例如下:

上面是两个齐次偏微分方程,右边的式子中, u x u y x u_xu_{yx} uxuyx被视为一个二次项
接下来是两个非齐次的偏微分方程,一个线性,一个非线性,示例如下:

这里要注意,单独一个未知量x与u的degree是不同的
1.5 常用的偏微分方程
我们在工程中主要使用的拉普拉斯,波动方程,热力方程都是线性齐次的偏微分方程
他们的表达式如下:

2. 简单偏微分方程的解法
2.1 ODE回顾
解偏微分方程的思想之一是将其转化为常微分方程,这里简单回顾一下常微分方程的解法:
假设我们有一个ODE:
y
′
′
+
a
y
′
+
b
y
=
0
y''+ay'+by=0
y′′+ay′+by=0
当a,b都为常数时,这个常微分方程的特性方程为
λ
2
+
a
λ
+
b
\lambda^2+a\lambda+b
λ2+aλ+b
解出方程的解 λ 1 , λ 2 \lambda_1, \lambda_2 λ1,λ2
如果根为不相等的两个实数,则通解为:
y
=
c
1
e
λ
1
x
+
c
2
e
λ
2
x
y=c_1e^{\lambda_1x}+c_2e^{\lambda_2x}
y=c1eλ1x+c2eλ2x
如果根为两个相等的实数,则通解为:
y
=
(
c
1
+
c
2
x
)
e
λ
x
y=(c_1+c_2x)e^{\lambda x}
y=(c1+c2x)eλx
如果根为一对共轭的复数
λ
\lambda
λ,
λ
‾
\overline{\lambda}
λ,则通解为:
y
=
e
R
e
(
λ
)
x
[
c
1
c
o
s
(
I
m
λ
x
)
+
c
2
s
i
n
(
I
m
λ
x
)
]
y=e^{Re(\lambda)x}[c_1cos(Im\lambda x)+c_2sin(Im\lambda x)]
y=eRe(λ)x[c1cos(Imλx)+c2sin(Imλx)]
2.2 例1
有
u
x
x
−
u
=
0
,
u_{xx}-u=0,
uxx−u=0,u是自变量为x和y的函数
由于里面没有对y求导的项,我们可以将其当作形如
u
′
′
−
u
=
0
u''-u=0
u′′−u=0的ODE来解,操作如下:
由
u
′
′
−
u
=
0
u''-u=0
u′′−u=0,得
λ
2
−
1
=
0
\lambda^2-1=0
λ2−1=0
上式可以解出两个不相等的实数根
−
1
,
1
-1,1
−1,1,因此,得到ODE的通解为
u
=
A
e
x
+
B
e
−
x
u=Ae^x+Be^{-x}
u=Aex+Be−x
这里的A和B可能是参数为y的函数,因此最终得到的结果为
u
(
x
,
y
)
=
A
(
y
)
e
x
+
B
(
y
)
e
−
x
u(x,y)=A(y)e^x+B(y)e^{-x}
u(x,y)=A(y)ex+B(y)e−x
如果遇到
u
X
u
\frac{u_X}{u}
uuX之类的东西,记住
∫
(
u
x
u
)
=
l
o
g
\int({\frac{u_x}{u}})=log
∫(uux)=log
2.3 例2
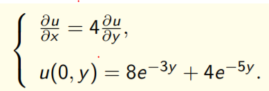
我们并不能总是将PDE当作ODE来计算,毕竟不是每个式子都只对一个参数求导的。但是,对两个参数求导的式子通常会给出多种情况,这时,我们可以用分离变量法找到PDE的解

假设一个PDE满足上图的两种情况,对此,我们首先将u(x,y)表达为
u
(
x
,
y
)
=
X
(
x
)
Y
(
y
)
u(x,y)=X(x)Y(y)
u(x,y)=X(x)Y(y)
微分的转化关系为
∂
u
∂
x
=
X
′
Y
\frac{\partial u}{\partial x}=X'Y
∂x∂u=X′Y
∂
u
∂
y
=
Y
′
X
\frac{\partial u}{\partial y}=Y'X
∂y∂u=Y′X
额外的,还有
∂
2
u
∂
x
2
=
X
′
′
Y
\frac{\partial^2 u}{\partial x^2}=X''Y
∂x2∂2u=X′′Y
将变量分离后的u代回到原式中,得到
X
′
4
X
=
Y
′
Y
=
c
\frac{X'}{4X}=\frac{Y'}{Y}=c
4XX′=YY′=c
这里的c是一个常数???,因此,我们推导出
X
′
−
4
c
X
=
0
X'-4cX=0
X′−4cX=0
Y
′
−
c
Y
=
0
Y'-cY=0
Y′−cY=0
上面两个式子就是两个标准的ODE,解出
X
(
x
)
=
A
e
4
c
x
X(x)=Ae^{4cx}
X(x)=Ae4cx
Y
(
y
)
=
B
e
c
x
Y(y)=Be^{cx}
Y(y)=Becx
其中的c,A,B可以是任意的常数
找到X(x)和Y(y)后,PDE的表达式可以写成
u
(
x
,
y
)
=
k
e
c
(
4
x
+
y
)
u(x,y)=ke^{c(4x+y)}
u(x,y)=kec(4x+y)
其中
k
=
A
B
k=AB
k=AB
接着,我们需要将之前列出的另一种状态代入这个表达式中
让
u
1
(
x
,
y
)
=
k
1
e
c
1
(
4
x
+
y
)
u_1(x,y)=k_1e^{c_1(4x+y)}
u1(x,y)=k1ec1(4x+y)满足
u
(
0
,
y
)
=
8
e
−
3
y
u(0,y)=8e^{-3y}
u(0,y)=8e−3y,可以得到
k
1
e
−
3
y
=
8
e
−
3
y
k_1e^{-3y}=8e^{-3y}
k1e−3y=8e−3y
解出
k
1
=
8
k_1=8
k1=8,
c
1
=
−
3
c_1=-3
c1=−3,得到
u
1
(
x
,
y
)
=
8
e
−
3
(
4
x
+
y
)
u_1(x,y)=8e^{-3(4x+y)}
u1(x,y)=8e−3(4x+y)
用同样的方法,假设
u
2
(
x
,
y
)
=
k
2
e
c
1
(
4
x
+
y
)
u_2(x,y)=k_2e^{c_1(4x+y)}
u2(x,y)=k2ec1(4x+y)
u
(
0
,
y
)
=
4
e
−
5
y
u(0,y)=4e^{-5y}
u(0,y)=4e−5y
可以得到
k
2
,
c
2
k_2, c_2
k2,c2
u
2
(
x
,
y
)
=
4
e
−
5
(
4
x
+
y
)
u_2(x,y)=4e^{-5(4x+y)}
u2(x,y)=4e−5(4x+y)
根据线性齐次PDE的定义,得到
u
(
x
,
y
)
=
u
1
(
x
,
y
)
+
u
2
(
x
,
y
)
u(x,y)=u_1(x,y)+u_2(x,y)
u(x,y)=u1(x,y)+u2(x,y)
工程中常用到的波动方程就是用这种分离变量法求解的
1900

被折叠的 条评论
为什么被折叠?



