文章目录
写在最前,持续更新中,感谢收藏的小伙伴,两个版本旧版本浅一些,新版本深一些!!!
旧版本如下
数列极限证明大题
数列极限的证明大题的目标是,证明数列极限存在且求此极限。
核心方法是:单调有界准则,如有上界+数列单增,则可说明数列极限
1.单调有界准则
在利用单调有界准则的过程中,我们先要证明有界性,再去证明单调性。
因为,有界性有助于我们判断单调性
1.1 证有界性和单调性
有界性的证明方法一般有两种+一种简单整理:
1️⃣ 数学归纳法
2️⃣利用不等式
3️⃣通过简单的整理分子分母,就可以得到界
单调性的证明方法一般有三个方面
1️⃣给出首项,利用导数工具,证明数列单调性
2️⃣未给出首项,则构造xn+1-xn或xn+1/xn的形式,尝试分母有理化等方法,证明>0或<0
3️⃣数学归纳法
使用导数来证明数列单调性的说明:
函数的导数>0,则说明数列单调。至于单增还是单减,要通过分析x1和x2之间的关系,x1>x2,就是单减,反之是单增。
函数的导数<0,则无法说明数列单调。采用别的方法-压缩映射法。
一般来说,如果首项已知,选取f(x)作为函数求导,若未知,选取xn+!-xn作为求导对象。
1.2真题实战
( 1996 ) 设 x 1 = 10 , x n + 1 = 6 + x n ( n = 1 , 2 , . . . ) ,试证数列 { x n } 极限存在,并求此极限 \left(1996\right)设x_{1} = 10,x_{n + 1} = \sqrt{6 + x_{n}}\left(n = 1,2,...\right),试证数列\left\{x_{n}\right\}极限存在,并求此极限 (1996)设x1=10,xn+1=6+xn(n=1,2,...),试证数列{xn}极限存在,并求此极限
1.在做此类题目的第一步是预求极限,先把答案要求的极限求出来,然后就可以用来提前把握证明有界性
2.证明有界性
3.证明单调性
下结论,求极限(把预求的结果抄一遍)

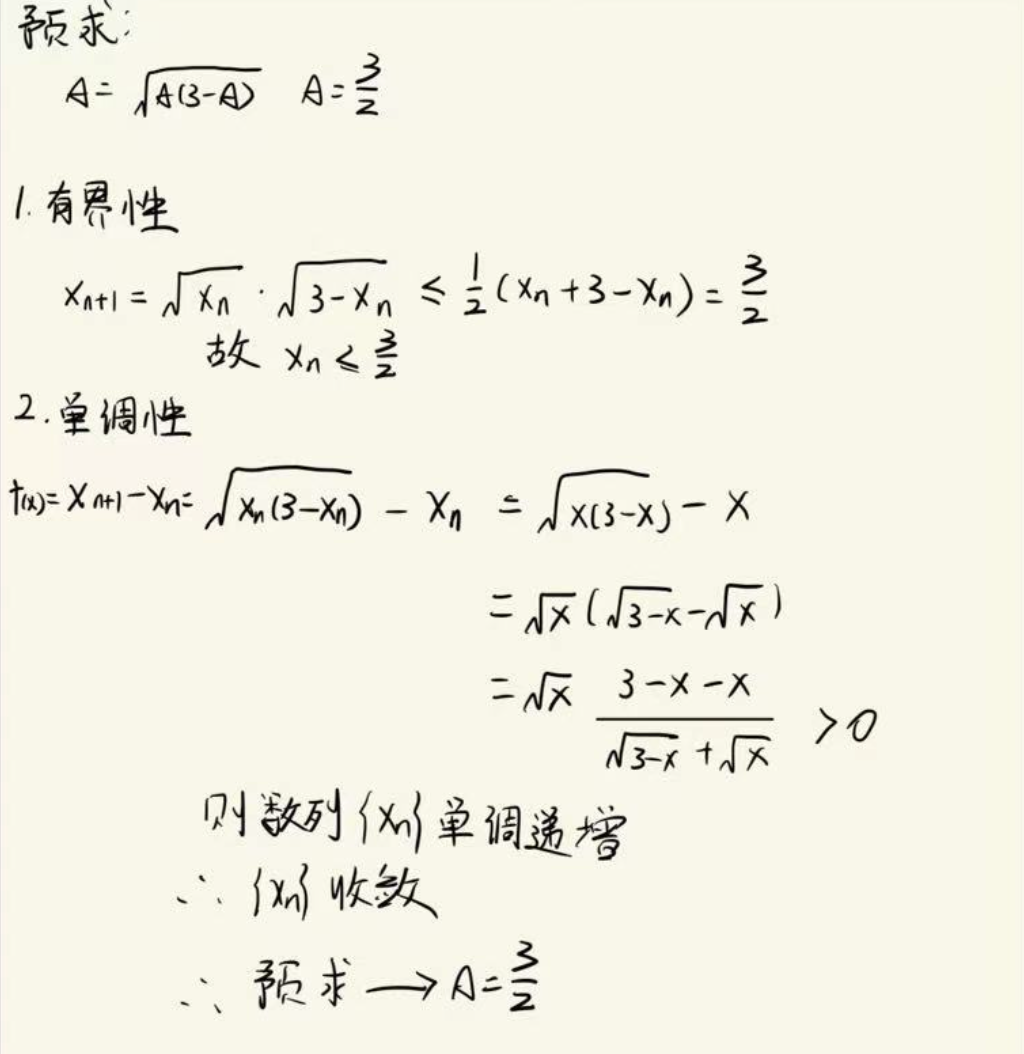
( 2002 ) 设 0 < x 1 < 3 , x n + 1 = x n ( 3 − x n ) ( n = 1 , 2 , . . . ) ,试证数列 { x n } 极限存在,并求此极限 \left(2002\right)设0 < x_{1} < 3,x_{n + 1} = \sqrt{x_{n}\left(3 - x_{n}\right)}\left(n = 1,2,...\right),试证数列\left\{x_{n}\right\}极限存在,并求此极限 (2002)设0<x1<3,xn+1=xn(3−xn)(n=1,2,...),试证数列{xn}极限存在,并求此极限
1.2.1 证明有界性中常用到的不等式
-
a b ≤ a + b 2 \sqrt{ab} \leq \frac{a + b}{2} ab≤2a+b
-
a + b 2 ≤ a 2 + b 2 2 \frac{a + b}{2} \leq \sqrt{\frac{a^{2} + b^{2}}{2}} 2a+b≤2a2+b2
-
e x ≥ x + 1 e^{x} \geq x + 1 ex≥x+1 (对于任意 x x x)
-
x − 1 ≥ ln x x - 1 \geq \ln x x−1≥lnx (对于 x > 0 x > 0 x>0)
三角函数相关:
-
sin x < x \sin x < x sinx<x (对于 x > 0 x > 0 x>0)
-
sin x < x < tan x \sin x < x < \tan x sinx<x<tanx (对于 0 < x < π 2 0 < x < \frac{\pi}{2} 0<x<2π)
-
当 0 < x < π 4 0 < x < \frac{\pi}{4} 0<x<4π 时, x < tan x < 4 π x x < \tan x < \frac{4}{\pi}x x<tanx<π4x
-
当 0 < x < π 2 0 < x < \frac{\pi}{2} 0<x<2π 时, sin x > 2 π x \sin x > \frac{2}{\pi}x sinx>π2x
新版本如下
数列极限证明大题的系统解决(上篇)
上帝的视角,自然的思路。
证明数列极限收敛:单调有界准则就是数列递增有上界,数列递减有下界这两方面
1.入手第一步-预求收敛值
在拿到一道证明数列界限收敛,要先预先求出xn的收敛值。
问题1:为什么我们要先证明数列收敛,才能求极限值?
因为,假如一个振荡的数列,1,2,1,2这种,它不收敛但是能求出极限值
问题2:为什么要预先求出xn的收敛值?
原因如下:
1.明确界限是什么?
2.通过首项,明确我们要证明的单增还是单减?
如何求这个收敛值?以例1为例
根据xn+1的递推式,写出
A
=
2
+
A
,
A
2
=
2
+
A
,
求出
A
=
2
或
A
=
−
1
又因为
x
1
=
2
>
0
,
A
应为
2
A = \sqrt{2 + A},A^{2} = 2 + A,求出A = 2或A = - 1\\又因为x_{1} = \sqrt{2} > 0,A应为2
A=2+A,A2=2+A,求出A=2或A=−1又因为x1=2>0,A应为2
例 1 : x 1 = 2 , x n + 1 = 2 + x n ,证明 { x n } 收敛,并求极限值 例1:x_{1} = \sqrt{2},x_{n + 1} = \sqrt{2 + x_{n}},证明\left\{x_{n}\right\}收敛,并求极限值\: 例1:x1=2,xn+1=2+xn,证明{xn}收敛,并求极限值
2.入手第二步-先证明有界,后证明单调
为什么先证明有界?因为在实际问题中,我们需要用到有界的结论,才能很好的证明出单调性。
3.开始证明
通过做题不断掌握证明方法
例1:证明有界时,用到了数学归纳法,证明单调时,列出了两种方法,第一种仍是数学归纳法,第二种是做差,将问题转化为,由第一问中证出的有界,把它看作成一个定义域,求做差之后的式子的值域问题。
在实际做题的过程中,常常用第二种方法证明单调
例2:
在证明有界的过程中,我们还可以使用一些不等式
例
1
:
x
1
=
2
,
x
n
+
1
=
2
+
x
n
,证明
{
x
n
}
收敛,并求极限值
例1:x_{1} = \sqrt{2},x_{n + 1} = \sqrt{2 + x_{n}},证明\left\{x_{n}\right\}收敛,并求极限值\:
例1:x1=2,xn+1=2+xn,证明{xn}收敛,并求极限值

类题
1
:
(
1996
)
x
1
=
10
,
x
n
+
1
=
6
+
x
n
,证明
{
x
n
}
收敛,并求极限值
类题1:\left(1996\right)x_{1} = 10,x_{n + 1} = \sqrt{6 + x_{n}},证明\left\{x_{n}\right\}收敛,并求极限值\:
类题1:(1996)x1=10,xn+1=6+xn,证明{xn}收敛,并求极限值

例2:

例3:

类题3:

例4:

数列极限证明大题的系统解决(下篇)
对于an+1=f(an)型的数列,an和an+1之间的关系完全是由f(x)决定,那么函数f(x)的有界性是否会影响到数列{an}的有界性?
答案是显而易见的,结论如下,需要记牢。

例题1: 设a0=25,an=arctanan-1(n=1,2,…),证明{an}收敛,并求极限
因为artanx有界,则{an}有界
又因为artanx单调递增,{an}单调
综上{an}收敛,A=arctanA,A=0
例题2:

2407

被折叠的 条评论
为什么被折叠?



