分类任务
做人脸辨识也可以是分类,手写字识别也可以是

用回归来预测分类,因为回归会惩罚那些太正确的分类,反而得到的结果是不好的,还有一个问题 如果你把class 1当作1,class 2当作2,class 3当3,这样做就相当于默认了 class 1 2相近

二元分类的任务的步骤

类别的个数的概率

水系中某一个品种的概率

如果找到了高斯分布
就可以找打了纪律
某一向量的几率
问题就是如何找高斯分布
很多个高斯函数都能sample出来个这79个点
但是越左下的能大可能sample出来
L(u,$)是衡量不同的高斯分布sample出这79个点的几率大小好坏=f0*f1*f2*****等
找到最大的u和$的值 也就是最好的高斯分布


这样我们就可以开始做分类问题了


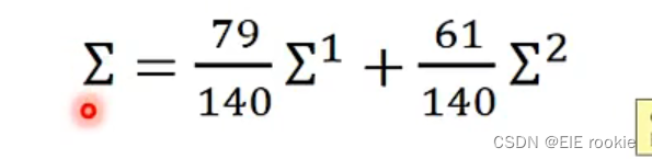
二维空间不是很好,看更高维,结果做了更高层发现效果也一般,不同系给同一个方差,减少overfitting的概率



强迫共用同一个方差
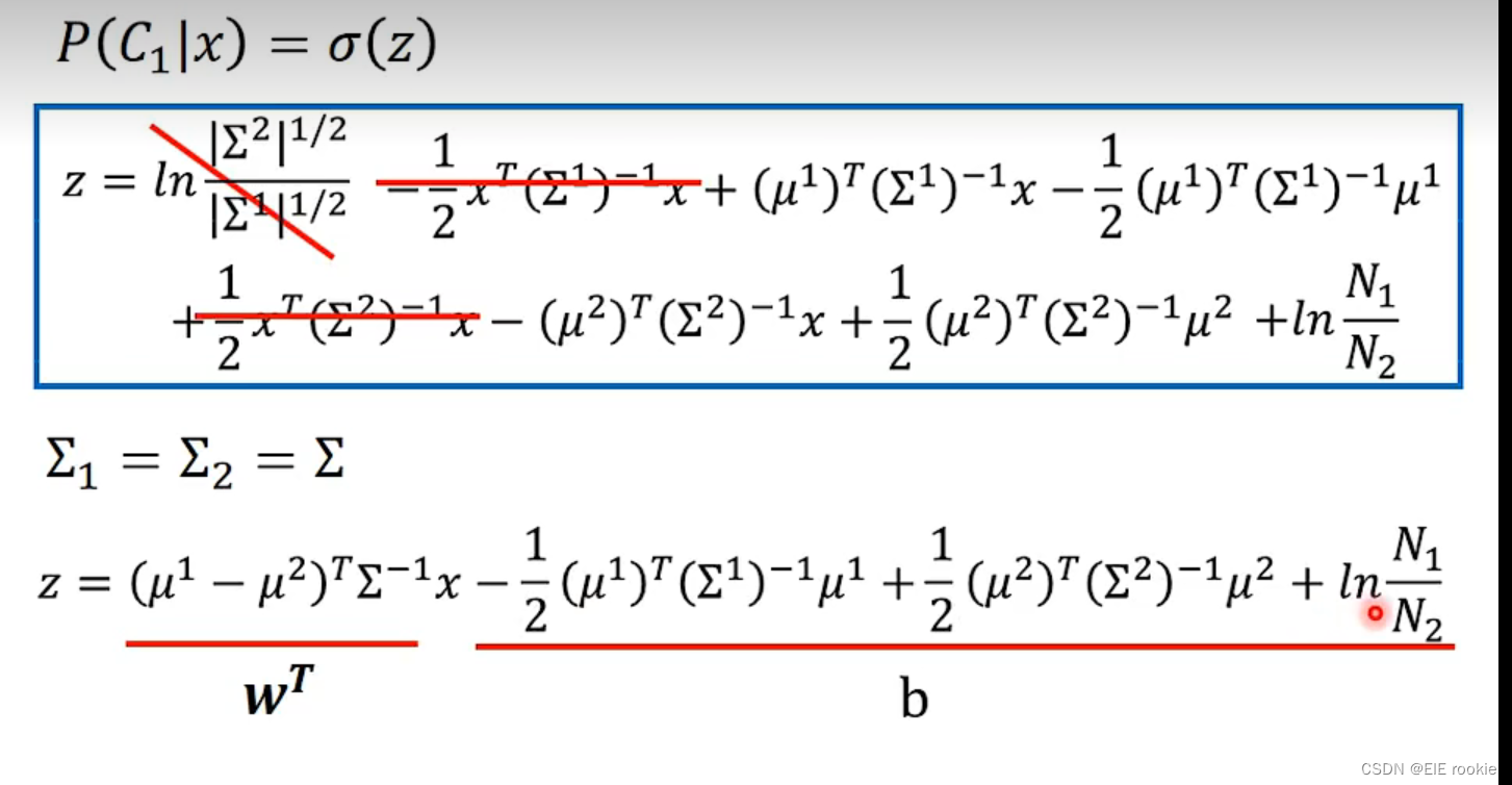
称为linear model
如果考虑更多的向量特征,就得到更高的正确率


函数也不一定是高斯分布
可能也是伯努利分布
特别是binary 分类

有趣的事会出现
方差一般是共用的
考察z的函数后发现


所以这里说明了 我共用了方差 我们就得到线性的了
这么麻烦的话 我们可以直接找出w和b吗?再深入探究!

被折叠的 条评论
为什么被折叠?



