
基于高通量测序技术的丛枝菌根真菌多样性研究方法
High-throughput Sequencing-based Method for Characterizing Biodiversity of Arbuscular Mycorrhizal Fungi
付伟1,武慧1,陈保冬1, *
1城市与区域生态国家重点实验室,中国科学院生态环境研究中心,北京
*通讯作者邮箱:bdchen@rcees.ac.cn
引用格式:付伟, 武慧, 陈保冬. (2021). 基于高通量测序技术的丛枝菌根真菌多样性研究方法. // 微生物组实验手册. Bio-101: e2003673. DOI: 10.21769/BioProtoc.2003673.
How to cite: Yunyun Gao, Kai Peng, Defeng Bai, et al. 2024. The Microbiome Protocols eBook initiative: Building a bridge to microbiome research. iMeta 3: e182. https://doi.org/10.1002/imt2.182
摘要:丛枝菌根 (Arbuscular mycorrhizal, AM) 真菌是一类可以与大多数陆地植物形成专性共生体系的土壤真菌类群。在过去的十几年中,高通量测序技术已经彻底改变了菌根生态学的研究方法,使得我们有能力深入探究不同环境中的AM真菌群落。相较于传统的形态学鉴定和Sanger测序方法,高通量测序可以快速、高通量、较准确的分析大量样品的AM真菌群落组成,使得区域和全球尺度上的AM真菌多样性和生物地理学研究成为可能。测序方法相较于传统方法具有更高的检测灵敏度,目前通过形态学鉴定大约定义了300种AM真菌,而通过分子手段定义的物种数超过1000种。虽然高通量测序技术已经广泛应用于微生物的群落研究中,但是由于AM真菌在生物学和遗传学上的特异性,使得该方法在AM 真菌群落研究中的应用存在一些认识误区。本方法以AM真菌的rRNA小亚基 (Small subunit rRNA, SSU) 测序为例,基于二代测序平台 (Illumina MiSeq) 和最新的去噪数据分析方法DADA2,介绍了AM真菌多样性的研究方法。本方法适用于土壤和植物根系AM真菌多样性的研究。
关键词:丛枝菌根真菌,多样性,rRNA小亚基 (Small subunit rRNA, SSU) ,DADA2
材料与试剂
1.常规试剂与材料
1.1剪刀
1.2镊子
1.3酒精灯
1.4液氮
1.52 mm土壤筛
1.6塑封袋
1.7无菌培养皿
1.8无菌手套
1.9ddH2O (双蒸水,DNase-Free)
2.FastDNATM SPIN Kit (MP Biomedicals, 116560200) ,保存温度:15-30 °C
3.1.5 ml/2 ml无菌离心管 (Axygen, MCT-150-C-S-1)
4.高保真DNA聚合酶 (Thermo scientific, F530L) ,-20 °C保存
5.引物 (生工生物,WANDA/AML2) ,溶解后-20 °C保存
仪器设备
1.样本裂解仪 (MP Biomedicals, Fastprep-24 5G)
2.PCR仪 (Ependorff, Mastercycler pro)
3.NanoDrop 1000 (Thermo scientific, ND-3300)
4.冷冻干燥机 (LABCONCO, FreeZone 4.5)
5.离心机 (Thermo scientific, Heraeus Fresco 21)
6.涡旋混合器 (MoBio Laboratories, G560E)
7.电子天平 (Mettler Toledo, ML54)
软件和数据库
1.R statistics (v3.6.0, https://www.r-project.org/)
2.R package: DADA2 (v1.14.0, https://benjjneb.github.io/dada2/index.html)
3.R package: vegan (v2.5.6, https://cran.r-project.org/web/packages/vegan/index.html)
4.MaarjAM database (下载日期:2020.01.16, https://maarjam.botany.ut.ee/)
实验步骤
1.土壤和根系样品的前处理
1.1根系样品
将根系样品低温保存运送到实验室,用水将根系表面黏附的土壤和有机质清洗干净 (必要时可使用超声清洗) ,并迅速用吸水纸将根系擦干,置于无菌培养皿中;继而用无菌剪刀将根系剪成0.5~1 cm根段,随机称取~250 mg根系样品于1.5 ml离心管中,然后使用液氮冷冻后将样品冻干,冻干样品于-20 °C保存。
1.2土壤样品
将土壤样品低温保存运送到实验室,过2 mm筛后,充分混匀,去除所有植物根系和残体,然后称取~500 mg土壤样品置于2 ml离心管中,使用液氮冷冻后将样品冻干,冻干样品于-20 °C保存。
注:在样品前处理过程中使用的剪刀和镊子等与样品直接接触的实验器具须使用酒精灯灼烧,消除DNA污染,且处理间器具不可混用。
2.DNA的提取
推荐使用商业DNA提取试剂盒,以提高DNA提取的稳定性,如使用FastDNATM SPIN Kit (MP Biomedicals, CA, USA) 配合MP Fastprep-24TM 5G样本裂解仪提取土壤DNA。根系样品经液氮研磨后也可使用此方法对其DNA进行提取,DNA浓度使用NanoDrop 1000超微量分光光度计进行检测。
DNA提取步骤参见:https://www.mpbio.com/media/productattachment/LS082019-EN-FastDNA-SPIN-Kit-for-Soil-116560200-Manual.pdf
3.扩增引物的选择
目前,在使用靶向扩增子测序研究AM真菌群落时主要考虑三个基因片段:rRNA小亚基 (Small Subunit rRNA, SSU) ,转录间隔区 (Internal Transcribed Spacer, ITS) 和rRNA大亚基 (Large Subunit rRNA, LSU) (图1) 。SSU rRNA是AM真菌多样性研究中使用最广泛的区域,此区域的引物可以在科的水平上扩增绝大多数AM真菌类群 (Egan et al., 2018, Lekberg et al., 2018) ,覆盖度较好,但是因为此区域相对较为保守,因此在种水平的区分度并不高 (Bruns and Taylor, 2016) ,更适合于较高分类水平下的相关研究。相较于其它研究区域,SSU rRNA拥有较为完善的数据库MaarjAM (https://maarjam.botany.ut.ee/) ,可以用于划分虚拟分类单元 (Virtual taxa, VT) ,将形态学与分子生物学鉴定相结合,极大的促进了不同研究之间的横向比较 (Öpik et al., 2010) 。ITS是真菌多样性研究的通用区域,其在AM真菌多样性研究中的应用次之,但有逐渐增多的趋势。ITS区在AM真菌多样性研究中的应用主要受限于两点: (1) 通用真菌ITS引物对AM真菌的扩增效率较低; (2) ITS序列在AM真菌种内的变异度较大,因此难以进行进化关系的分析。然而,ITS区域相较于SSU rRNA变异性更高,在低分类水平下的分辨率较高,因此其检测AM真菌群落响应的敏感性可能更高 (Gao et al., 2018) 。此外,ITS作为真菌多样性研究的通用区域,其拥有较为完善的数据库 (如UNITE (Kõljalg et al., 2013) ) ,以及可以在真菌群落水平揭示AM真菌的群落响应和相互作用关系。LSU rRNA在AM真菌多样性的研究中应用最少,此区域拥有较为合适的变异度,但是其引物的偏好性较强 (Kohout et al., 2014) ,且多数扩增区域较长,不适用于二代测序。此外,还可以联合SSU、ITS和LSU三个区域,使用PacBio三代测序平台开展AM真菌多样性研究,此方法极大的提高了相关研究在AM真菌低分类水平下的区分度,可以在种水平上考察AM真菌的群落变化 (Krüger et al., 2009; Schlaeppi et al., 2016),但是此方法的成本相对较高,对实验操作和数据分析要求较高。综上所述,每一个扩增区域都有自己的优缺点和适用范围 (表1) ,因此在选择扩增区域和引物时应明确要解决的科学问题和研究目标,以便采用更合适的实验方法。结合以上分析,为了更广泛的适用范围,本方法以最常用的SSU rRNA测序为例,使用WANDA/AML2引物组合 (表1) ,介绍与其相关的AM真菌多样性研究方法。

图1. AM真菌多样性研究可用引物
表1 AM真菌多样性研究可用引物列表及其优缺点
引物组合 | 优点 | 缺点 | 参考文献 |
AML1/AML2 AMV4.5F/AMDGR | 可以使用MaarjAM数据库。 | 长度较短无法在低分类水平下有较好的区分度。 | Sato et al., 2005; Lee et al., 2008; Veresoglou et al., 2019 |
WANDA/AML2 | 1. MaarjAM数据库; 2.扩增效率较高,覆盖度较好,且偏好性较低。 3. 片段长度有所提高。 | 长度有所提高,但是在低分类水平下的区分度仍然不高。 | Dumbrell et al., 2011; Egan et al., 2018; Lekberg et al., 2018 |
NS31/AML2 | 1. MaarjAM数据库; 2. 传统的测序区域。 | 此区域较长仅能使用454和PacBio,但区分度远不及Cf/Br。 | Hiiesalu et al., 2014 |
SSUmAf/LSUmAr SSUmCf/LSUmBr fITS7/ITS4 | 1. 解决了ITS引物对AM真菌扩增效率低的问题; 2. 相较于SSU在低分类水平下有较好的区分度。 | 1. 种间变异度较大; 2. 三次PCR扩增可能会影响AM真菌群落结构。 | Krüger et al., 2009; Deveautour et al., 2018, 2020 |
ITS7/ITS4 或oITS7/ITS4 | 1. 相较于SSU在低分类水平下有较好的区分度; 2. oITS7针对AM真菌序列设计,理论上覆盖度较好。 | 1. 种间变异度较大; 2. 引物的扩增效率可能不高,影响下游分析。 | Ihrmark et al., 2012; Kohout et al., 2014; Lekberg et al., 2018 |
5.8S-Fun/ITS4-Fun | 1. 相较于SSU在低分类水平下有较好的区分度; 2. 设计时同时考虑AM真菌,理论上覆盖度较好; 3. 可以在真菌群落水平上研究AM真菌的多样性。 | 1. 种间变异度较大; 2. 引物的扩增效率可能不高,影响下游分析。 | Taylor et al., 2016; Gao et al., 2018 |
Cf/Br | 片段由SSU, ITS和LSU组成,在AM真菌种水平上拥有较高的区分度。 | 只能使用PacBio三代测序平台,成本较高,数据分析要求较高。 | Schlaeppi et al., 2016 |
SSUmAf/LSUmAr LSU-D1f/LSUmBr | 包含LSU的D1和D2区拥有较好的低分类水平区分度。 | 此区域较长仅能使用454和PacBio,但区分度不及Cf/Br。 | Krüger et al., 2009; Senés-Guerrero and Schüßler 2015 |
4.
PCR扩增 (以引物WANDA/AML2为例)
4.120 μl PCR反应体系
5 × Phusion buffer | 1 | 4 |
Phusion High-Fidelity DNA Polymerase | 0.02 U/μl | 0.2 |
dNTP | 200 μM | 1.6 |
WANDA | 0.4 μM | 0.4 |
AML2 | 0.4 μM | 0.4 |
BSA | 1 μg/μl | 1 |
DNA模板 | 30-70 ng | 1 |
ddH2O | 11.4 | |
Total | 20 |
注:本反应体系仅供参考,具体应根据所使用聚合酶和DNA模板的性质进行调整。
4.2 PCR反应条件
温度 Temperature | 时间 Time | 循环 Cycle |
99 °C | 5 min | |
99 °C | 20 s | 35 × |
63 °C | 20 s | 35 × |
72 °C | 20 s | 35 × |
72 °C | 10 min | |
4 °C | Hold |
注:本反应条件仅供参考,具体反应条件应根据聚合酶和DNA模板的性质进行调整,此处建议使用高保真聚合酶,PCR产物保存于-20°C。
5.扩增与测序
使用两步PCR法对目的片段进行扩增 (Egan et al., 2018, Lekberg et al., 2018)。首先使用WANDA/AML2按照4.1的反应体系和4.2的PCR反应条件对目的片段进行第一次扩增,获得PCR产物稀释10倍后用于第二次PCR扩增。第二次PCR扩增使用10次循环,添加相应的barcodes和Illumina adapters等。PCR产物经纯化、混样 (等摩尔浓度)、建库后,使用Illumina MiSeq PE300进行双端测序,测序深度建议大于10,000条reads。扩增与测序也可交由测序服务商进行。
结果与分析
扩增子测序数据的处理主要有聚类 (Clustering algorithm) 和去噪 (Denoising algorithm) 两种分析方法,去噪分析方法因为其具有较高的准确性和区分度,越来越受到研究者的青睐,正在逐渐的取代传统的聚类分析方法 (Callahan et al., 2017) 。本方法我们采用DADA2 (Divisive amplicon denoising algorithm) 去噪分析方法来分析AM真菌的SSU rRNA扩增子测序数据。
1.DADA2是一种运行于R语言中的软件包 (Callahan等,2016) ,数据分析前请先安装R,并将DADA2软件包安装于R中,加载到当前运行环境中,并设定当前工作路径
rm (list=ls () )
## 通过Bioconductor安装DADA2
if (!requireNamespace ("BiocManager", quietly = TRUE) )
install.packages ("BiocManager")
BiocManager::install ("dada2", version = "3.6.0")
library (dada2) ; packageVersion ("dada2")
## 修改工作路径到当前位置,即数据的存放目录
setwd ("~/data")
path <- "~/data"
list.files (path)
2.生成文件路径列表,提取样品名称 (本例中使用三个样品RA1, RA2和RA3)
## 生成正向和反向序列文件的路径列表,数据命名格式:samplename.R1.fq.gz
fnFs <- sort (list.files (path, pattern = ".R1.fq.gz", full.names = TRUE) )
fnRs <- sort (list.files (path, pattern = ".R2.fq.gz", full.names = TRUE) )
## 提取样品名称
sample.names <- sapply (strsplit (basename (fnRs) , "[.]") , '[', 1)
3.数据质量控制,去除低质量序列
plotQualityProfile (fnRs[1:2]) ## 查看序列质量信息(图2a)
filtFs <- file.path (path, "filtered", paste0 (sample.names, "_F_filt.fq.gz") )
filtRs <- file.path (path, "filtered", paste0 (sample.names, "_R_filt.fq.gz") )
names (filtFs) <- sample.names
names (filtRs) <- sample.names
## 根据数据的质量信息对数据进行过滤,因为正向和反向序列的重合区域只有25-50 bp,所以此步骤不可以直接将序列右侧低质量序列切除,只能通过收紧质量过滤参数过滤低质量序列。在此代码中我们用trimleft切除了引物序列,并收紧了质量过滤参数,不允许序列中有N出现,正向和反向序列中仅允许有一个错误,最小序列长度为200 bp,此处质量参数设置较为严格,样品RA1的40,471条序列中仅有16,742条通过(图2. a, b),如序列质量较低导致序列去除率过高,可适当的放松质量参数,增加序列的通过率。若数据本身为非压缩数据,compress设置为FALSE; Windows操作系统下不支持多核计算,multithread设置为FALSE。
out <- filterAndTrim (fnFs, filtFs, fnRs, filtRs, trimleft = c (20,22) , maxN = 0, maxEE = c (1, 1) , minLen = 200, truncQ = 2, rm.phix = TRUE, compress = TRUE, multithread = FALSE)
head (out)
## 查看质量控制后的序列质量信息,如序列质量没有得到改善,可以在上一步骤中收紧质量过滤参数,提高质控后序列质量。在本例中样品RA1的序列在质量控制后,序列质量值的平均数显著升高,说明序列质量得到了明显的改善 (图2) 。
plotQualityProfile (c (filtFs[1], filtRs[1]) )

图2. 序列质量控制. (a) 质量控制前序列质量信息; (b) 质量控制后序列质量信息
本图为序列每个位置质量分布的灰度热图,绿线表示质量值的平均数,橙色实线为质量值的中位数,橙色虚线分别表示上、下四分位数
4.DADA2去噪算法的核心,使用机器学习算法对序列进行去噪
## 使用机器学习算法学习测序错误发生的概率
errF <- learnErrors (filtFs, multithread = FALSE)
errR <- learnErrors (filtRs, multithread = FALSE)
plotErrors (errR, nominalQ = TRUE)
## DADA2去噪算法的核心,样品推断,根据错误发生率对序列进行去噪,去重复,列出每一个样品中的独特序列 (Unique sequences) (图3)
dadaFs <- dada (filtFs, err = errF, multithread = FALSE)
dadaRs <- dada (filtRs, err = errR, multithread = FALSE)
dadaRs[[1]]

图3. 样品推断并列出独特序列
5.合并正反向序列,构建独特序列表格
## 正向序列和反向序列的合并,此处可以设置最小合并区域,默认为10 bp
mergers <- mergePairs (dadaFs, filtFs, dadaRs, filtRs, verbose = TRUE, minOverlap = 20)
head (mergers[[1]])
## 构建序列表格
seqtab <- makeSequenceTable (mergers)
## 查看序列表格的基本信息
dim (seqtab)
table (colSums (seqtab > 0) )
table (rowSums (seqtab > 0) )
6.去除序列中的嵌合体
seqtab.nochim <- removeBimeraDenovo (seqtab, method = "consensus", multithread = FALSE, verbose = TRUE)
dim (seqtab.nochim)
table (colSums (seqtab.nochim > 0) )
table (rowSums (seqtab.nochim > 0) )
sum (seqtab.nochim) /sum (seqtab) ## 查看嵌合体序列在总序列数中的比例
table (nchar (getSequences (seqtab.nochim) ) ) ## 查看序列长度分布
7.追踪各个步骤中的序列数 (图4)
getN <- function (x) sum (getUniques (x) )
track <- cbind (out, sapply (dadaFs, getN) , sapply (dadaRs, getN) , sapply (mergers, getN) ,rowSums (seqtab.nochim) )
colnames (track) <- c ("input", "filtered", "denoisedF", "denoisedR", "merged", "nochim")
rownames (track) <- sample.names
head (track)

图4. 追踪各个步骤中的序列数
8.进一步通过序列长度过滤非目标序列 (可选)
## 根据计算获得的目标序列长度过滤序列表格,此步骤与引物、barcode序列等密切相关
seqtab.nochim2 <- seqtab.nochim[ ,nchar (colnames (seqtab.nochim) ) %in% 495:510]
dim (seqtab.nochim2)
9.输出ASV (Amplicon sequence variants) 表格用于后续分析
write.csv (t (seqtab.nochim2), file = "seqtab.nochim.filtered.csv")
10.使用ASV表格中的序列与MaarjAM数据库进行比对,序列一致性 (Sequence identity) 大于97%,覆盖度 (Sequence coverage) 大于95%的ASV即可认为与数据库中的虚拟分类单元 (Virtual taxa, VT) 相对应,继而用于下游分析 (Lekberg et al., 2018) 。如使用DADA2中的朴素贝叶斯分类算法 (Naive Bayesian classifier) ,可使用Sliva 18S数据库,但是本数据库并不是AM真菌的专一数据库,比对效果不及MaarjAM数据库,因此须自行根据MaarjAM建库,建库格式请参考DADA2官网。如需要在不同的相似水平上对ASVs进行聚类,可以使用VSEARCH软件进行 (Rognes et al., 2016)
11.下游的AM真菌多样性分析可以从ASV水平和VT水平同时进行,分析方法与其他微生物类似,例如使用Vegan软件包绘制AM真菌ASV水平的稀释曲线并计算其α多样性
library (vegan) ## 使用前须安装
asv.table <- seqtab.nochim ## 此处以嵌合体过滤后的ASV表格为例进行计算
head (asv.table)
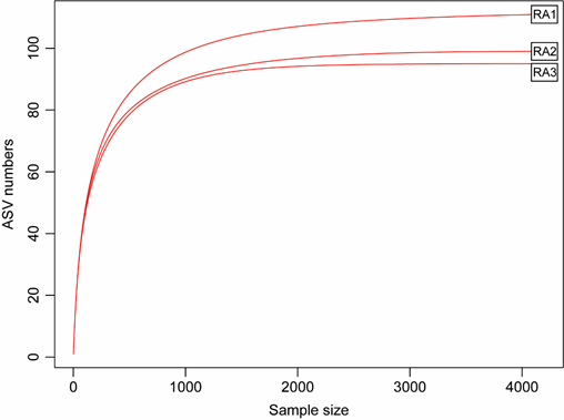
## 以所有样品中的最小序列数抽平ASV表格,以稀释后的ASV表格做稀释曲线如图5
r.asv.table <- rrarefy (asv.table, 4199) ## 本例中样本最小序列数为4199 (图4)
rarecurve (r.asv.table, step = 1, xlab = "Sample size", ylab = "ASV numbers",
label = TRUE, col = "red")

图5. 样本稀释曲线
## 计算各样本的α多样性指数
richness <- specnumber (r.asv.table) ## Species richness
shannon <- diversity (r.asv.table) ## Shannon entropy (base e)
simpson <- diversity (r.asv.table, "simpson") ## Simpson diversity
inverse.simpson <- diversity (r.asv.table, "invsimpson") ## Inverse Simpson
pielou.evenness <- shannon/log (richness) ## Pielou evenness
shannon.evenness <- shannon/richness ## Shannon evenness
simpson.evenness <- simpson/richness ## Simpson evenness
## 合并各样本的α多样性指数,输出结果如图6所示
asv.alpha.div <- data.frame (richness, shannon, simpson, inverse.simpson, pielou.evenness,
shannon.evenness, simpson.evenness)
head (asv.alpha.div)

图6. AM真菌α多样性计算结果
参考文献
1.Bruns, T. D., and Taylor, J. W. (2016) . Comment on “Global assessment of arbuscular mycorrhizal fungus diversity reveals very low endemism”. Science 351 (6257) : 826-826.
2.Callahan, B.J., McMurdie, P.J., Rosen, M.J., Han, A.W., Johnson, A.J.A. and Holmes, S.P. (2016) . DADA2: high-resolution sample inference from Illumina amplicon data. Nat methods 13 (7) : 581-583.
3.Callahan, B. J., McMurdie, P. J., and Holmes, S. P. (2017) . Exact sequence variants should replace operational taxonomic units in marker-gene data analysis. ISME J 11 (12) : 2639-2643.
4.Deveautour, C., Donn, S., Power, S. A., Bennett, A. E., and Powell, J. R.(2018) . Experimentally altered rainfall regimes and host root traits affect grassland arbuscular mycorrhizal fungal communities. Mol Ecol 27 (8) : 2152-2163.
5.Deveautour, C., Power, S. A., Barnett, K. L., Ochoa-Hueso, R., Donn, S., Bennett, A. E., and Powell, J. R. (2020) . Temporal dynamics of mycorrhizal fungal communities and co-associations with grassland plant communities following experimental manipulation of rainfall. J Ecol 108 (2) : 515-527.
6.Dumbrell, A. J., Ashton, P. D., Aziz, N., Feng, G., Nelson, M., Dytham, C., Fitter, A. H., and Helgason, T. (2011) . Distinct seasonal assemblages of arbuscular mycorrhizal fungi revealed by massively parallel pyrosequencing. New Phytol 190 (3) : 794-804.
7.Egan, C. P., Rummel, A., Kokkoris, V., Klironomos, J., Lekberg, Y., and Hart, M. (2018) . Using mock communities of arbuscular mycorrhizal fungi to evaluate fidelity associated with Illumina sequencing. Fungal Ecol 33: 52-64.
8.Gao, C., Montoya, L., Xu L., Madera, M., Hollingsworth, J., Purdom, E., Hutmacher, R. B., Dahlberg, J. A., Coleman-Derr, D., Lemaux, P. G., and Taylor, J. W. (2018) . Strong succession in arbuscular mycorrhizal fungal communities. ISME J 13 (1) : 214-226.
9.Hiiesalu, I., Pärtel, M., Davison, J., Gerhold, P., Metsis, M., Moora, M., Öpik, M., Vasar, M., Zobel, M., and Wilson, S. D. (2014) . Species richness of arbuscular mycorrhizal fungi: associations with grassland plant richness and biomass. New Phytol 203 (1) : 233-244.
10.Ihrmark, K., Bodeker, I.T., Cruz-Martinez, K., Friberg, H., Kubartova, A., Schenck, J., Strid, Y., Stenlid, J., Brandstrom-Durling, M., Clemmensen, K. E. and Lindahl, B. D. (2012) . New primers to amplify the fungal ITS2 region evaluation by 454-sequencing of artificial and natural communities. FEMS Microbiol Ecol 82 (3) : 666-677.
11.Kohout, P., Sudová, R., Janoušková, M., Čtvrtlíková, M., Hejda, M., Pánková, H., Slavíková, R., Štajerová, K., Vosátka, M., and Sýkorová, Z. (2014) . Comparison of commonly used primer sets for evaluating arbuscular mycorrhizal fungal communities: is there a universal solution? Soil Biol Biochem 68: 482-493.
12.Kõljalg, U., Nilsson, R. H., Abarenkov, K., Tedersoo, L., Taylor, A. F., Bahram, M., Bates, S. T., Bruns, T. D., Bengtsson,‐Palme J., and Callaghan, T. M. (2013) . Towards a unified paradigm for sequence based identification of fungi. Mol Ecol 22 (21) : 5271-5277.
13.Krüger, M., Stockinger, H., Krüger, C., and Schussler, A. (2009) . DNA-based species level detection of Glomeromycota: one PCR primer set for all arbuscular mycorrhizal fungi. New Phytol 183 (1) : 212-223.
14.Lee, J., Lee, S., and Young, J. P. (2008) . Improved PCR primers for the detection and identification of arbuscular mycorrhizal fungi. FEMS Microbiol Ecol 65 (2) : 339-349.
15.Lekberg, Y., Vasar, M., Bullington, L. S., Sepp, S. K., Antunes, P. M., Bunn, R., Larkin, B. G., and Öpik, M. (2018) . More bang for the buck? Can arbuscular mycorrhizal fungal communities be characterized adequately alongside other fungi using general fungal primers? New Phytol 220 (4) : 971-976.
16.Öpik, M., Vanatoa, A., Vanatoa, E., Moora, M., Davison, J., Kalwij, J. M., ReierÜ., and Zobel, M. (2010) . The online database MaarjAM reveals global and ecosystemic distribution patterns in arbuscular mycorrhizal fungi (Glomeromycota) . New Phytol 188 (1) : 223-241.
17.Rognes, T., Flouri, T., Nichols, B., Quince, C., and Mahé, F. (2016) . VSEARCH: a versatile open source tool for metagenomics. PeerJ, 4:e2584.
18.Sato, K., Suyama, Y., Saito, M., and Sugawara, K. (2005) . A new primer for discrimination of arbuscular mycorrhizal fungi with polymerase chain reaction-denature gradient gel electrophoresis. Grassl Sci 51 (2) : 179-181.
19.Schlaeppi, K., Bender, S. F., Mascher, F., Russo, G., Patrignani, A., Camenzind, T., Hempel S., Rillig, M. C., and van der Heijden, M. G. 2016. High-resolution community profiling of arbuscular mycorrhizal fungi. New Phytol 212 (3) : 780-791.
20.Senés-Guerrero, C., and Schüßler, A. (2015) . A conserved arbuscular mycorrhizal fungal core-species community colonizes potato roots in the Andes. Fungal Divers 77 (1) : 317-333.
21.Taylor, D. L., Walters, W. A., Lennon, N. J., Bochicchio, J., Krohn A., Caporaso J. G., and Pennanen T. (2016) . Accurate estimation of fungal diversity and abundance through improved lineage-specific primers optimized for Illumina amplicon sequencing. Appl Environ Microbiol 82 (24) : 7217-7226.
22.Veresoglou, S. D., Liu, L., Xu, T. L., Rillig, M. C., Wang, M. E., Wang, J. T., Chen, Y. L., Hu, Y. J., Hao, Z. P., and Chen, B. D. (2019) . Biogeographical constraints in Glomeromycotinan distribution across forest habitats in China. J Ecol 107 (2) :684-695.
致谢
感谢DADA2的开发者Callahan博士在GitHub上的解疑答惑,以及由他开发的数据分析软件。感谢国家自然科学基金面上项目 (41877050) 和国家重点研发计划项目 (2016YFC0500702) 的资助。
宏基因组推荐
本公众号现全面开放投稿,希望文章作者讲出自己的科研故事,分享论文的精华与亮点。投稿请联系小编(微信号:yongxinliu 或 meta-genomics)
猜你喜欢
iMeta高引文章 fastp 复杂热图 ggtree 绘图imageGP 网络iNAP
iMeta网页工具 代谢组MetOrigin 美吉云乳酸化预测DeepKla
iMeta综述 肠菌菌群 植物菌群 口腔菌群 蛋白质结构预测
10000+:菌群分析 宝宝与猫狗 梅毒狂想曲 提DNA发Nature
一文读懂:宏基因组 寄生虫益处 进化树 必备技能:提问 搜索 Endnote
16S功能预测 PICRUSt FAPROTAX Bugbase Tax4Fun
生物科普: 肠道细菌 人体上的生命 生命大跃进 细胞暗战 人体奥秘
写在后面
为鼓励读者交流快速解决科研困难,我们建立了“宏基因组”讨论群,己有国内外6000+ 科研人员加入。请添加主编微信meta-genomics带你入群,务必备注“姓名-单位-研究方向-职称/年级”。高级职称请注明身份,另有海内外微生物PI群供大佬合作交流。技术问题寻求帮助,首先阅读《如何优雅的提问》学习解决问题思路,仍未解决群内讨论,问题不私聊,帮助同行。
点击阅读原文
1117

被折叠的 条评论
为什么被折叠?



