欢迎大家来到“Python从零到壹”,在这里我将分享约200篇Python系列文章,带大家一起去学习和玩耍,看看Python这个有趣的世界。所有文章都将结合案例、代码和作者的经验讲解,真心想把自己近十年的编程经验分享给大家,希望对您有所帮助,文章中不足之处也请海涵。Python系列整体框架包括基础语法10篇、网络爬虫30篇、可视化分析10篇、机器学习20篇、大数据分析20篇、图像识别30篇、人工智能40篇、Python安全20篇、其他技巧10篇。您的关注、点赞和转发就是对秀璋最大的支持,知识无价人有情,希望我们都能在人生路上开心快乐、共同成长。
前一篇文章讲述了数据预处理、Jieba分词和文本聚类知识,这篇文章可以说是文本挖掘和自然语言处理的入门文章。本文将详细讲解文本挖掘领域的词云热点分析和LDA主题分布分析。两万字基础文章,希望对您有所帮助。
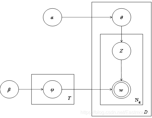
近年来,词云热点技术和文档主题分布分析被更广泛地应用于数据分析中,通过词云热点技术形成类似云的彩色图片来聚集关键词,从视觉上呈现文档的热点关键词;通过文档主题分布识别文档库或知识语料中潜藏的主题信息,计算作者感兴趣的文档主题和每篇文档所涵盖的主题比例。本文主要介绍WordCloud技术的词云热点分布和LDA模型的主题分布,并结合真实的数据集进行讲解。
文章目录
下载地址:

本文详细介绍了Python中WordCloud的使用,包括词云的生成和中文编码问题,以及LDA主题模型的安装、基本用法和实例分析。通过词云技术,可以直观展示文本热点,而LDA则用于识别文档主题,帮助理解文本主要内容。
订阅专栏 解锁全文
946

被折叠的 条评论
为什么被折叠?



