LBP特征原理及代码实现:http://blog.csdn.net/quincuntial/article/details/50541815(将LBP非常好的一篇博客)
1 基本的LBP
特别注意:原作者的旋转取值顺序是:
2 加阈值的LBP
3 旋转不变的LBP
(2)LBP旋转不变模式
从 LBP 的定义可以看出,LBP 算子是灰度不变的,但却不是旋转不变的。图像的旋转就会得到不同的 LBP值。
Maenpaa等人又将 LBP算子进行了扩展,提出了具有旋转不变性的 LBP 算子,即不断旋转圆形邻域得到一系列初始定义的 LBP值,取其最小值作为该邻域的 LBP 值。
图 2.5 给出了求取旋转不变的 LBP 的过程示意图,图中算子下方的数字表示该算子对应的LBP值,图中所示的 8 种 LBP模式,经过旋转不变的处理,最终得到的具有旋转不变性的 LBP值为 15。也就是说,图中的 8种 LBP 模式对应的旋转不变的 LBP模式都是 00001111。
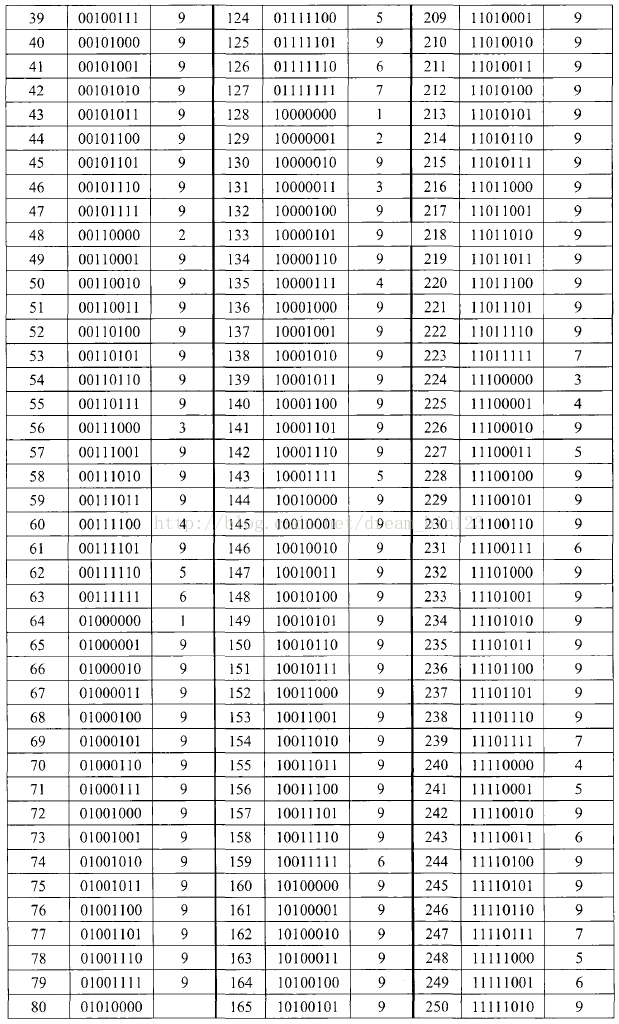
Uniform Pattern:ojala的Uniform Pattern模式是带旋转不变性的,有9种;不带旋转不变性的话是59种;
4 等价模式LBP:
0、1跳变大于2次的归为一类,所以一共是8×7+2+1=59类
二进制表示中,0、1跳变次数大于2的归为一类,所以一共有8×7+2+1=59类;
由于视频中的每顿图像的相邻像素之间的相关性很大,相邻像素值突变的可能性很小,所以,算子得到的二进制编码的变化也不可能太剧烈。从表的统计可以看出,01跳变次数大于2的像素点数占总像素的比例小于0.04,但是,p=8,R=1时,算子产生的256种二进制编码中,01跳变次数大于2的二进制编码有198种,而跳变次数小于2的二进制编码仅有58种,(就是说58种编码表示了0.96的数据,198种编码表示了0.04的数据),所以,01跳变大于2的归为一类;
5 统一模式LBP( Uniform Pattern LBP特征):
等价模式+选择不变:9种
上图中的没一行归为一类,没类都用类中旋转不变性的最小二进制表示,即可;
6 MB-LBP特征
MB-LBP特征,全称为Multiscale Block LBP,来源于论文[9],中科院的人发明的,在Traincascade级联目标训练检测中的LBP特征使用的就是MB-LBP。
MB-LBP的原理:
将图像分成一个个小块(Block),每个小块再分为一个个的小区域(类似于HOG中的cell),小区域内的灰度平均值作为当前小区域的灰度值,与周围小区域灰度进行比较形成LBP特征,生成的特征称为MB-LBP,Block大小为3*3,则小区域的大小为1,就是原始的LBP特征,上图的Block大小为9*9,小区域的大小为3*3。
6 检测时一般都用局部图像的直方图为特征;
因为,从上面的分析我们可以看出,这个“特征”跟位置信息是紧密相关的。直接对两幅图片提取这种“特征”,并进行判别分析的话,会因为“位置没有对准”而产生很大的误差。后来,研究人员发现,可以将一幅图片划分为若干的子区域,对每个子区域内的每个像素点都提取LBP特征,然后,在每个子区域内建立LBP特征的统计直方图。如此一来,每个子区域,就可以用一个统计直方图来进行描述;整个图片就由若干个统计直方图组成;
例如:一幅100*100像素大小的图片,划分为10*10=100个子区域(可以通过多种方式来划分区域),每个子区域的大小为10*10像素;在每个子区域内的每个像素点,提取其LBP特征,然后,建立统计直方图;这样,这幅图片就有10*10个子区域,也就有了10*10个统计直方图,利用这10*10个统计直方图,就可以描述这幅图片了。之后,我们利用各种相似性度量函数,就可以判断两幅图像之间的相似性了;
3、对LBP特征向量进行提取的步骤
(1)首先将检测窗口划分为16×16的小区域(cell);
(2)对于每个cell中的一个像素,将相邻的8个像素的灰度值与其进行比较,若周围像素值大于中心像素值,则该像素点的位置被标记为1,否则为0。这样,3*3邻域内的8个点经比较可产生8位二进制数,即得到该窗口中心像素点的LBP值;
(3)然后计算每个cell的直方图,即每个数字(假定是十进制数LBP值)出现的频率;然后对该直方图进行归一化处理。
(4)最后将得到的每个cell的统计直方图进行连接成为一个特征向量,也就是整幅图的LBP纹理特征向量;
然后便可利用SVM或者其他机器学习算法进行分类了。
7 相似度的计算
相似度的计算用卡方距离:
参考资料:
LBP的提出:"Multiresolution gray-scale and rotation invariant texture classification with local binary patterns", pami, vol 24, no.7, July 2002。LBP就是"local binary pattern"

4006

被折叠的 条评论
为什么被折叠?



