对称性
当被积函数较为复杂,或者由一个简单项和一个极其复杂的项组合成时,直接积分非常麻烦,此时可以观察积分区域D,巧妙利用D的对称性来抵消掉复杂的部分,从而简化计算
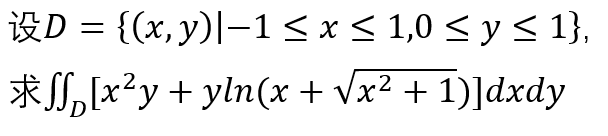
例题1

不难看出ln函数是一个奇函数,而x范围恰好是对称的,因此积分后这部分一定为0,则计算时可以直接舍弃右边的ln函数

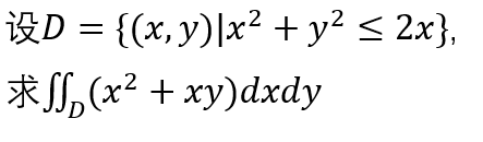
例题2

将被积函数展开,得到项 4xy,同时发现区域D是一个以原点为圆心的圆,该项在一三象限为正,在二四象限为负,可以相互抵消

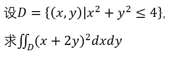
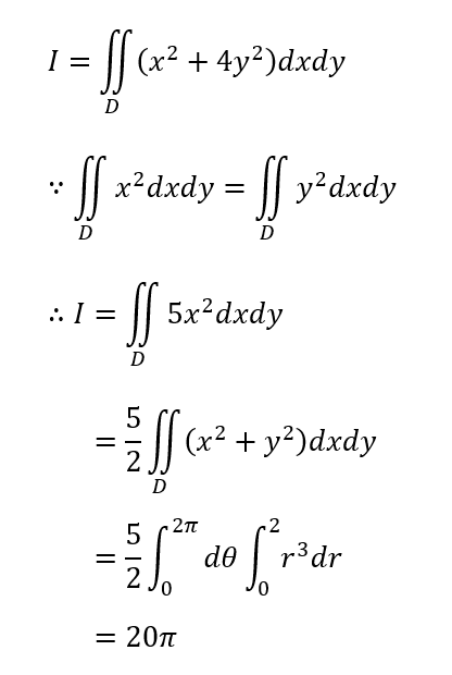
例题3

显然积分区域D是一个关于x轴对称的圆,因此项 xy 可以被抵消
同时由于积分区域是个圆,用直角坐标难以计算,因此改用极坐标

https://blog.dearxuan.com/2022/05/26/%E4%BA%8C%E9%87%8D%E7%A7%AF%E5%88%86%E7%9A%84%E5%AF%B9%E7%A7%B0%E6%80%A7%E6%8A%80%E5%B7%A7/
9287

被折叠的 条评论
为什么被折叠?



