ARMA、ARIMA和SARIMA
1 背景知识
1.1 自回归模型(AR)
描述当前值与历史值之间的关系,用变量自身的历史时间数据对自身进行预测,自回归模型必须满足平稳性。

- 自回归(AR),就是指当前值只与历史值有关,用自己预测自己
- p阶自回归,指当前值与前p个值有关
- 求常数u与自回归系数ri
- 自回归模型的限制
(1)自回归模型是用自身的数据来进行预测,即建模使用的数据与预测使用的数据是同一组数据;
(2)必须具有平稳性;
(3)必须具有自相关性,如果自相关系数(φi)小于0.5,则不宜采用;
(4)自回归只适用于预测与自身前期相关的现象。
1.2 移动平均模型(MA)
移动平均模型关注的是自回归模型中的误差项的累加,移动平均法能有效地消除预测中的随机波动。

- q阶自回归,指当前值与前q个误差有关
- 求常数u与系数θi
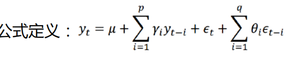
1.3 自回归移动平均模型(ARMA)
自回归与移动平均的结合

- p与q分别为自回归模型与移动平均模型的阶数,需要人为定义
- γi与θi分别是两个模型的相关系数,需要求解
- 如果原始数据不满足平稳性要求而进行了差分,则为差分自相关移动平均模型(ARIMA),将差分后所得的新数据带入ARMA公式中即可
1.4 判断时序数据是否稳定的方法
- 严谨的定义: 一个时间序列的随机变量是稳定的,当且仅当它的所有统计特征都是独立于时间

本文介绍了自回归模型(AR)、移动平均模型(MA)和它们的结合体ARMA模型,以及ARIMA模型的参数、特例和建模步骤。重点讨论了ARIMA中p、q阶数的确定方法,包括自相关与偏自相关图的分析。此外,还提到了针对周期性时间序列的SARIMA模型及其应用。
最低0.47元/天 解锁文章
963

被折叠的 条评论
为什么被折叠?



