
目录
1. 神经网络基础
神经网络是由大量处理单元(称为神经元)相互连接而成的网络,能够学习复杂的输入输出映射关系。一个简单的神经网络由输入层、隐藏层和输出层组成。
神经元模型通常表示为:

其中,y 是神经元的输出,f 是激活函数,wi 是权值,xi 是输入信号,b 是偏置项。
2. BP神经网络原理
BP神经网络使用反向传播算法调整网络中的权重和偏置项,以最小化误差。
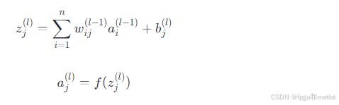
2.1 正向传播
正向传播计算神经网络各层的输出,直至输出层。对于第 l 层的第 j 个神经元,输出计算如下:

其中,zj(l) 是加权输入,aj(l) 是该层的输出,wij(l−1) 是从上一层到本层的权重,bj(l) 是偏置。
2.2 反向传播
反向传播计算损失函数关于各层权重和偏置的梯度,并根据这些梯度更新权重和偏置。损失函数 E 定义为:

其中,tk 是目标输出,ak(L) 是输出层的输出。
权重和偏置的更新规则为:

其中,η 是学习率。
3. 粒子群优化算法
PSO是一种启发式优化算法,模拟鸟群觅食行为,通过粒子之间的协作寻找最优解。
每个粒子有位置 x 和速度 v,其更新规则为:

其中,w 是惯性权重,c1 和 c2 是加速系数,r1 和 r2 是随机数,pbesti 是粒子 i 的最佳位置,gbest 是群体的最佳位置。
4. 基于PSO的BP神经网络优化
PSO可以用来优化BP神经网络的权重和偏置,从而提高网络的性能。
初始化
初始化粒子群,每个粒子代表一组权重和偏置。
设置PSO参数,如粒子数量、惯性权重、加速系数等。
评估
使用正向传播计算每个粒子对应的网络输出。
计算损失函数。
更新
根据损失函数更新粒子的速度和位置。
更新粒子的个人最好位置pbesti 和群体最好位置gbest。
训练过程
- 随机初始化BP神经网络的权重和偏置。
- 初始化粒子群的位置和速度。
- 对于每个粒子,使用BP神经网络的正向传播计算输出。
- 计算损失函数E。
- 更新粒子的速度和位置。
- 更新 pbesti 和gbest。
- 使用 gbest 更新BP神经网络的权重和偏置。
重复上述步骤直到满足终止条件(例如最大迭代次数或误差低于阈值)。
- 使用训练好的BP神经网络对测试数据进行预测。
- 计算预测输出与实际输出之间的误差,评估模型性能。
5.MATLAB程序
.......................................................................
% 进化过程
for i = 1:Miters
disp(i) % 显示当前代数
for j = 1:Npop
% 更新速度与位置
V(j,:) = V(j,:) + c1*rand*(gbest(j,:) - pop(j,:)) + c2*rand*(zbest - pop(j,:)); % 速度更新
V(j,:) = max(min(V(j,:), Vmax), Vmin); % 限制速度范围
pop(j,:) = pop(j,:) + 0.2*V(j,:); % 位置更新
pop(j,:) = max(min(pop(j,:), popmax), popmin); % 限制位置范围
% 自适应变异操作
if rand > 0.95
pos = unidrnd(21);
pop(j,pos) = 5*rands(1,1);
end
fitness(j) = func_fitness(pop(j,:), Ni, Nh, No, net, inputn, outputn); % 更新适应度
end
% 更新个体和全局最优
for j = 1:Npop
if fitness(j) < fgbest(j)
gbest(j,:) = pop(j,:);
fgbest(j) = fitness(j);
end
if fitness(j) < fzbest
zbest = pop(j,:);
fzbest = fitness(j);
end
end
yy(i) = fzbest; % 记录每代最优适应度
end
% 绘制适应度曲线
figure
plot(yy)
xlabel('进化代数')
ylabel('适应度')
% 应用最优解配置网络权重
x = zbest;
w1 = x(1:Ni*Nh); % 输入至隐藏层权重
B1 = x(Ni*Nh+1:Ni*Nh+Nh); % 隐藏层偏置
w2 = x(Ni*Nh+Nh+1:Ni*Nh+Nh+Nh*No); % 隐藏层至输出层权重
B2 = x(Ni*Nh+Nh+Nh*No+1:end); % 输出层偏置
net.iw{1,1} = reshape(w1, Nh, Ni); % 配置输入层到隐藏层权重
net.lw{2,1} = reshape(w2, No, Nh); % 配置隐藏层到输出层权重
net.b{1} = reshape(B1, Nh, 1); % 配置隐藏层偏置
net.b{2} = B2; % 配置输出层偏置
% 网络训练
net.trainParam.epochs = 100; % 训练轮数
net.trainParam.lr = 0.1; % 学习率
[net, per2] = train(net, inputn, outputn); % 执行训练
% 网络预测
inputn_test = mapminmax('apply', testi, inputps); % 测试数据归一化
an = sim(net, inputn_test); % 预测输出
test_simu = mapminmax('reverse', an, outputps); % 反归一化预测值
error = test_simu - testo; % 计算预测误差
% 绘制预测误差图
figure
plot(error)
xlabel('样本点')
ylabel('预测误差')
ylim([-1,1]);
up4128
6.MATLAB仿真结果





3万+

被折叠的 条评论
为什么被折叠?



