1. 背景和思路
系统稳定:系统储存的总能量持续地减小,直至耗尽,系统状态就会趋于平衡态
稳定性考察:考察一个正值的能量函数
V
(
x
)
V(x)
V(x)和它的变化率
V
˙
(
x
)
\dot{V} (x)
V˙(x)来判断。若
V
˙
(
x
)
\dot{V} (x)
V˙(x)始终为负,则系统稳定。
困难:对于一般的动态系统,并不是总能明确地定义一个能量函数
解决方案:用一个正定的标量函数作为系统的广义能量函数
这个标量函数是什么:运用李雅普诺夫第二方法判断系统稳定性时,常常采用二次型的标量函数。所谓二次型函数,是指形如
V
(
x
)
=
x
T
P
x
V(x)=x^TPx
V(x)=xTPx
的函数,这里P是实对称矩阵。设

则V的正定性可以用西尔维斯特(Sylvester) 准则来判断:
(1)二次型正定:即P矩阵正定:顺序主子式都大于0
(2)二次型(或P)负定:充要:P的主子式满足:

注:
要求正定,则说明V是正值能量函数,要求二次型,则符合能量特征。
2. 李雅普诺夫第二方法
取非线性定常系统状态方程为:
x
˙
(
t
)
=
F
(
x
(
t
)
)
\dot{x}(t)=F(x(t))
x˙(t)=F(x(t))
系统平衡状态为:
x
e
=
0
x_e=0
xe=0
定理1:
(寻找李雅普诺夫函数,使得系统渐近稳定)
(1)对于具有连续一阶偏导数的标量函数V(x),如果V(x)正定,V(x)的导数负定,则系统平衡状态是渐近稳定的,这样的V(x)就是系统的一个李雅普诺夫函数。
(2)如果在(1)成立的情况下,V(x)还满足径向无界条件:

那么平衡状态在整个状态空间中是大范围渐近稳定的。(意义见后面例题)
问题:在定理1中,如果V的导数是半负定的,一般只能确定系统平衡状态在李雅普诺夫意义下是稳定的,但不能确定其渐近稳定性。
解决方案:加一个限制条件,见定理2。
定理2:
(没找到满足定理1的李雅普诺夫函数,但是找到了自身正定、导数半负定的V,也想实现渐近稳定性)
如果V在系统状态方程的任一非零解的状态运动轨迹上不恒为0,那么系统的平衡状态也是渐近稳定的(#跟减函数相似)。如果V径向无界,那么系统是大范围渐近稳定的。

定理3:
(判断系统的不稳定性)
如果找到了有连续一阶偏导数的标量函数V,满足V正定,V的导数也正定,那么系统平衡状态是不稳定的。
3. 李雅普诺夫稳定性分析
对于只有唯一平衡状态的线性定常系统,平衡状态的大范围稳定性与系统的稳定性是一回事,因此就不加区分了。下面将分别介绍用李雅普诺夫第二方法(下称李二法)来分析线性定常连续时间系统和线性定常离散时间系统的稳定性。
(1)线性定常连续时间系统
状态方程:
x
˙
(
t
)
=
A
x
(
t
)
\dot{x}(t)=Ax(t)
x˙(t)=Ax(t)
系统唯一平衡态:
x
e
=
0
x_e=0
xe=0
李函数变化率:

记

为了使系统渐近稳定,Q应该正定。
问题:有时候P选得不好,Q既不是正定的也不是负定的,就不能用李二法判断系统稳定性了。
解决方案:实际用李二法的时候,一般先确定一个正定的Q,然后求解下面的李方程:
A
T
P
+
P
A
=
−
Q
A^TP+PA=-Q
ATP+PA=−Q
再找到正定的P。只要系统是渐近稳定的,那么这个李方程就一定存在正定解。也就是说,已知系统渐近稳定,那么一定存在李函数。这和前面用李函数判断渐近稳定性刚好反过来。这也就有了定理4。
定理4:
线性定常连续时间系统渐近稳定的充要条件:对任意给定的正定矩阵Q,存在正定矩阵P为李方程的解。
因为Q是任意的,所以一般来说,Q取单位阵,最简单了。
(2)线性定常离散时间系统
系统状态方程:
x
(
k
+
1
)
=
A
x
(
k
)
x(k+1)=Ax(k)
x(k+1)=Ax(k)
系统唯一平衡态:
x
e
=
0
x_e=0
xe=0
李函数:
V
(
x
)
−
=
−
x
T
P
x
V(x)-=-x^TPx
V(x)−=−xTPx
因为是离散时间系统,所以用V(x(k+1))-V(x(k))作为变化率:

同样设:
Q
=
−
(
A
T
P
A
−
P
)
Q=-(A^TPA-P)
Q=−(ATPA−P)
为了让系统渐近稳定,Q应该是正定的。和连续时间系统一样,一般也是先确定Q,然后求解李方程:
A
T
P
A
−
P
=
−
Q
A^TPA-P=-Q
ATPA−P=−Q
找到正定的P。同样,有定理5:
定理5:
线性定常离散时间系统渐近稳定的充要条件:对任意给定的正定矩阵Q,存在正定矩阵P,成为李方程的解。
同样,一般取Q为单位阵。
4. 例题
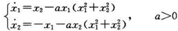
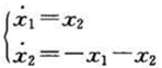
1. 判断非线性定常系统稳定性:

首先这是二维系统。P是自己选的,要找一个2*2的矩阵。
先确定稳态:两个x的导数都为0,解出来是x1=x2=0,所以稳态是[0,0]’。
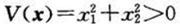
P取为I2,得到李雅普诺夫函数:

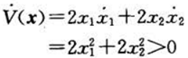
只要选正定的P,那么V(x)就是正定的,要验证的只是它的导数的负定性:

计算的时候代入x1和x2的导数的表达式就可以。这里a>0,V的导数是负定的。所以平衡状态是渐近稳定的。
另外,当||x||无穷的时候,V也无穷,所以系统在整个状态空间中是大范围渐近稳定的。
大范围渐近稳定的意义:

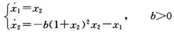
2. 判断非线性定常系统稳定性:

平衡状态:[0,0]’。
选择P=I2,李雅普诺夫函数:

导数:

只有在x2=0和x2=-1两条直线上,导数为0,所以V的导数是半负定的。

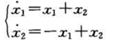
3. 判断线性定常系统稳定性:

平衡状态:[0,0]’
李雅普诺夫函数:

变化率:

所以平衡状态是不稳定的。
4. 判断线性定常系统稳定性:

唯一平衡状态:原点。
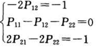
取Q为单位阵,则李方程为:

整理成方程组:

因为P是对称的,所以

从而:

利用西尔韦斯特准则,可以得到:

所以P是正定的。所以系统是渐近稳定的。
但这里的Q是指定的,按理说要对任意给定的Q都存在P作为方程的解才行啊,不应该用一般的形式来证明吗?不需要,因为既然找到了合适的P,使得V正定,V的变化率负定,那么系统已经是渐近稳定的了。
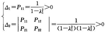
5. 求线性定常离散时间系统的稳定性条件:

取Q为单位阵,解李方程:

写成方程组:

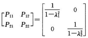
考虑P的对称性,解得:

要让P正定,必须满足:

解不等式得到:

这就是线性定常离散时间系统渐近稳定的充要条件了。这和用离散时间系统稳定性代数判据得到的结论是一样的。
5. 参考文献
[1] 田玉平,蒋珉,李世华.自动控制原理[M].北京:科学出版社,2006
本文详细介绍了李雅普诺夫稳定性理论,包括李雅普诺夫第二方法的应用,如何通过构造李雅普诺夫函数判断系统稳定性,以及线性和非线性系统的稳定性分析方法。文章还提供了具体的例题,帮助读者理解理论的实际应用。
990

被折叠的 条评论
为什么被折叠?



