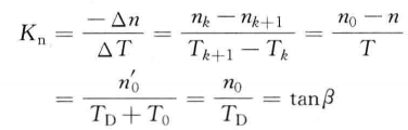
- 转矩常数
- 反电动势常数
- 转速常数
1. 机械特性
转速特性

机械特性

电机的机械特性一般包括、
、
、
四条曲线



2 三大常数
2.1 转矩常数


表示电机在单位电流所能产生的转矩;
越大,单位电流产生的转矩越大;反之。


2.2 反电动势常数

![]()
表示电机在单位转速时能产生的感应电压。
转矩常数与反电动势常数的关系:
![]()


,电机内阻越大,该线越倾斜,即电机单位电压下转速下降快,其特性“软”,反之,其特性硬。
反电动势常数决定了电机转速与转矩的上限。

2.3 转速常数
电机转速会随负载转矩T的增加几乎成比例的下降。


在永磁直流电机中,永远为正。

表示电机单位转矩转速下降的值。
正比于
,与
和
的乘积平方成反比。
当电机磁钢确定后,电机的转速特性会随电机电枢绕组有效匝数与电枢内阻值的改变而改变。
2.4 电机转速

电机的负载转速是一条直线,其最高转速不大于,转速与负载转矩成反比,其斜率为


2.5感应电动势E
![]()
电动机:电机电源电压U始终大于的反电动势E
发电机:电机电源电压U等于的反电动势E,
3
曲线
电机空载转速与堵转转矩
确定之后,
曲线就是唯一的。


和电源电压
决定了电机的曲线。
若要兼顾效率与功率,一般在
之间选取。
4 调节特性

电机电压与转速成正比(电压增量与转速的增量成正比)。

电机制成,是恒值不变的,电机的
曲线是随电压
的变化上下平移的。

转子电阻与堵转转矩成反比;堵转转矩大,即其与x轴夹角大,特性硬;特性硬的电机转子电阻小,线径大。
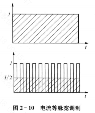
脉宽调制(PWM):通过控制器电路把直流电流细分为多个相同或不同宽度的脉冲电流,它们之间有一定的间隔,各脉冲电流的电流峰值仍是相等的电源电压幅值,但其有效值比纯直流电流的有效值低,效果上相当于把电源电压降低了。其优点在于:主电路比较简单,需要的功率元件少,开关频率高,电流容易连续,谐波少,电机损耗和发热小,调速特性优良,调整平滑,过载能力强,低速性能好,稳定精度高,系统频带宽,调速范围宽,快速响应性能好,动态抗干扰能力强,能承受频繁负载冲击,实现无极快速启动,制动和反转,主电路工作在开关状态,导通损耗极小,控制器效率高等。

有效值只有
调制频率:单位时间内导通的脉冲数
相等的导通和关断时间的控制是相对容易的,把导通和关断时间变得不同(占空比不同),就会产生各种波形,包括PWM正弦波,这种控制相对复杂。


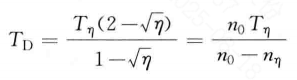
5 特性曲线分析
5.1
曲线
确定电机的空载点与其他一点,电机的整个机械特性曲线也就确定了。电机电阻R在某些场合对电机性能的影响比磁链对电机的影响小。
当线圈负载增加,电机电流对应增大,线圈温升提高,使线圈内阻增加,
增加,控制器MOS管的管压降增大,这样电机转速比理想转速低,造成了电机曲线的下垂。空载电压高于额定电压,转速出现上翘。

5.2
曲线
表示单位电流产生的扭矩关系

越大,电机空载电流越大,空载损耗越大。
5.3
曲线
表示电机在输出各种转矩时的电能转换成机械能的效率
由于电机的空载转矩和电阻
的存在,使电机效率下降


5.4
曲线
是一条标准的抛物线,最大输出功率点在堵转转矩
的1/2处

5.5 机械特性曲线的分析
- 增加电机空载转速的方法:

①提高电机的工作电压U;②降低电机的、
,即减小
或
,或者减小电机的
乘积值;③降低电机的工作磁通:用磁性能
低的磁钢,减小定子和转子的硅钢片厚度,用磁导率差的硅钢片,减小硅钢极弧系数,减小转子齿宽,降低转子叠压系数,定子、转子的气隙改为不均匀气隙,减薄导磁环的厚度,轭部变窄,转子轴用非导磁材料;④减小电机的定位转矩(齿槽转矩),特别是高性能磁钢,采用分数槽,整数槽定子斜槽处理。减小轴承阻力,减小转子转动惯量,提高转子动平衡要求,减小电机风摩损耗。
- 增加电机堵转转矩的方法:
①提高电机工作电压U;②提高,
会相应下降。电机的机械特性会变硬;③减小
,采用铜纯度高的导线,加大电机电枢导线的截面积,增加线圈导线的并联根数,采用扁形转子,减小转子有效导体长度,,减小转子端部长度,直流无刷电机采用分数槽集中绕组;④提高
,尽量减小
,使
减小而要确保
不变或增加;
- 减小电机空载转矩
电机的空载转矩由电机的各种空载损耗决定,
大,空载损耗就大。
①减小电机转子或无刷电机定子铁耗,提高冲片的材料牌号;②减小电机的风摩损耗,转子表面粗糙度要求等级提高。采用磁性槽楔填充定子槽口,采用细长型转子;③正确选用轴承,不宜采用超过要求的大轴承,严格控制轴承的滑道加工要求,合理选择轴承滚珠和滑道之间的间隙,合理选用轴承油脂。
- 减小电机空载电流
①电机在不变的情况下,降低
,电机的
相应降低;②
增大,
会相应降低;③提高上定子冲片材料牌号;④保持
不变,增加磁钢的
,减小电机的
。
- 减小电机的堵转电流
当电机被施加一个转矩,这个转矩逐渐增加使电机停止运转,这时电机的输出转矩与外加的制动转矩相等时,这个转矩被认为是堵转转矩。此时的电流即为堵转电流
①增加电机的电枢电阻,在不影响电机性能与电密时电机的线径不宜太大。当电机需要靠电池或整流电源供电时,尤其要考虑堵转电流;②减小电机电枢冲片的直径,增加电机电枢长度
,电机电枢长了,相应电枢绕组电阻大,可以适当限制堵转电流和启动峰值电流;③在电机供电回路中串入限流电阻。
- 电机的额定电流
①电机在额定点的输入功率使确定的,当电机效率
确定后,额定电压
越大,
越小;

②电机的转矩常数越大,电机的额定电流
越小,
;③尽量减小电机的,即减小电机的空载损耗,使电机的空载电流减小。
如果提高了电机的额定电压,为确保电机的额定转速
不变,电机的反电动势
要与额定电压
成正比的提高。如果电机的形状不变,即工作磁通
不变,那么必须要成正比的提高电机的有效导体数
(
)。电机的电枢电阻会相应增加,电机内阻大。但电机电流会相应减小,电机的铜耗
,与电流的减小成平方关系,因此铜耗不会增加,反而会略下降,故同一大小的电机做成高压的效率比低压的效率高。
- 电机的额定转矩
电机的输出转矩与该速度的乘积等于负载运行的功率。
- 电机的最大效率
当电机的其他总损耗与负载铜耗相等时,这是的负载点就是电机的最大效率点。



无刷电机机械特性、常数及外部特征解析

1万+

被折叠的 条评论
为什么被折叠?



