三维空间内点到直线的距离计算公式

本文介绍了两种计算三维空间中点到直线距离的方法,并提供了具体的C++实现代码。方法一利用向量夹角计算,方法二则通过向量叉乘实现。测试代码验证了两种方法的有效性。

其思路是巧妙使用直线上两个点进行计算。

方法一:

如下图所示,在直线L上取两点,则得到向量构成向量,根据下式计算得到两向量夹角。那么到直线L的距离为

PointLineDistance3D

方法二:

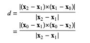
使用向量叉乘得到

基于方法一的代码如下:

double Point2Line3DSin(LinePara3D line, pcl::PointXYZ point)
{

	//直线的法向量(p,q,r)
	double p = line.LineNormal.normalX;
	double q = line.LineNormal.normalY;
	double r = line.LineNormal.normalZ;
	
	//直线上的2个点
	double x1 = line.point.x;
	double y1 = line.point.y;
	double z1 = line.point.z;

	double x2 = 1; //令第2个点的x=1
	double y2 = y1 - x1*q / p + q / p;
	double z2 = z1 - x1*r / p + r / p;
	
	//两个向量:参考博客中的绘图
	//p1p2
	double normal01_x = x2 - x1;
	double normal01_y = y2 - y1;
	double normal01_z = z2 - z1;

	//p1p0 (p0为待求点到直线距离的那个点)
	double normal02_x = point.x - x1;
	double normal02_y = point.y - y1;
	double normal02_z = point.z - z1;

	//求取两个向量的夹角:弧度
	double fenzi = normal01_x*normal02_x + normal01_y*normal02_y + normal01_z*normal02_z;
	double lengthN1 = sqrt(normal01_x*normal01_x + normal01_y*normal01_y + normal01_z*normal01_z);
	double lengthN2 = sqrt(normal02_x*normal02_x + normal02_y*normal02_y + normal02_z*normal02_z);
	double hudu = acos(fenzi / (lengthN1*lengthN2));


	//再求取点到直线的距离
	double ds = abs(lengthN2*sin(hudu));

	return ds;

}

基于方法二的代码如下:

double Point2Line3DVecproduct(LinePara3D line, pcl::PointXYZ point)
{
	//直线的法向量(p,q,r)
	double p = line.LineNormal.normalX;
	double q = line.LineNormal.normalY;
	double r = line.LineNormal.normalZ;

	//直线上的2个点
	double x_q = line.point.x;
	double y_q = line.point.y;
	double z_q = line.point.z;

	double x_b = 1; //令第2个点的x=1
	double y_b = y_q - x_q*q / p + q / p;
	double z_b = z_q - x_q*r / p + r / p;

	double x_o = point.x;
	double y_o = point.y;
	double z_o = point.z;

	//两个向量
	//oq
	double normal01_x = x_q - x_o;
	double normal01_y = y_q - y_o;
	double normal01_z = z_q - z_o;

	//ob
	double normal02_x = x_b - x_o;
	double normal02_y = y_b - y_o;
	double normal02_z = z_b - z_o;
	
	//oq与ob进行叉乘
	double chacheng_x = normal01_y*normal02_z - normal02_y*normal01_z;
	double chacheng_y = normal02_z*normal01_x - normal02_x*normal01_z;
	double chacheng_z = normal01_x*normal02_y - normal01_y*normal02_x;

	double chacheng_length = sqrt(chacheng_x*chacheng_x + chacheng_y*chacheng_y + chacheng_z*chacheng_z);
	double dx = x_q - x_b;
	double dy = y_q - y_b;
	double dz = z_q - z_b;

	double qb_length = sqrt(dx*dx+dy*dy+dz*dz);

	double ds = chacheng_length / qb_length;
	return ds;

}

测试代码如下:

void main()
{
	MyBoundary BounExample;

	LinePara3D line;
	line.LineNormal.normalX = 1;
	line.LineNormal.normalY = -4;
	line.LineNormal.normalZ = 2;

	line.point.x = 2;
	line.point.y = -1;
	line.point.z = 6;

	pcl::PointXYZ p;
	p.x = 4;
	p.y = 5;
	p.z = 6;

	double ds = BounExample.Point2Line3DSin(line, p);
	cout << "使用方法一计算得到的距离ds=" << ds << endl;

	double ds1 = BounExample.Point2Line3DVecproduct(line, p);
	cout << "使用方法二(叉乘)计算得到的距离" << ds1 << endl;

	system("pause");
}

 

具体参考matlab中推导:https://mathworld.wolfram.com/Point-LineDistance3-Dimensional.html

参考博客:https://blog.csdn.net/lcfactorization/article/details/53285631

### Matlab 实现三维空间点到直线距离的计算 在三维空间中, \( P(x_p, y_p, z_p) \) 到直线距离可以通过向量叉积的方式进行计算。假设直线上有两 \( A(x_a, y_a, z_a) \) 和 \( B(x_b, y_b, z_b) \),可以定义两个向量: \[ \vec{AB} = [x_b - x_a, y_b - y_a, z_b - z_a], \quad \vec{AP} = [x_p - x_a, y_p - y_a, z_p - z_a]. \] 利用这两个向量之间的关系,点到直线距离可表示为: \[ d = \frac{\|\vec{AB} \times \vec{AP}\|}{\|\vec{AB}\|}. \] 以下是基于此公式的 MATLAB 示例代码实现。 ```matlab function d = point_to_line_distance_3d(A, B, P) % 输入参数说明: % A: 直线上的第一个坐标 [xa ya za] % B: 直线上的第二个坐标 [xb yb zb] % P: 待测坐标 [xp yp zp] AB = B - A; % 向量 AB AP = P - A; % 向量 AP cross_product = cross(AB, AP); % 叉乘 |AB × AP| distance_numerator = norm(cross_product); % 分子 ||AB × AP|| distance_denominator = norm(AB); % 分母 ||AB|| d = distance_numerator / distance_denominator; end % 测试数据 A = [0, 0, 0]; % 直线上的 A B = [1, 1, 1]; % 直线上的 B P = [1, 2, 3]; % 空间中的待测 P distance = point_to_line_distance_3d(A, B, P); fprintf('Point to line distance is %.4f\n', distance); ``` #### 结果解释 上述函数 `point_to_line_distance_3d` 接受三个输入参数:\( A \), \( B \), 和 \( P \),分别代表直线上的一、另一以及目标测试。通过调用该函数,可以获得点到直线的实际欧几里得距离[^1]。 --- ### 关联维数与本问题的关系探讨 虽然引用[3]描述的是 Grassberger-Procaccia 算法用于计算关联维数的过程,但它并未涉及三维空间点到直线的具体几何运算。因此,在解决当前问题时无需引入复杂的时间序列分析方法[^3]。 然而,如果需要扩展至更高维度的空间或者动态系统的轨迹分析,则可能需要用到类似的相空间重构技术来处理更复杂的场景。 ---
评论 5
添加红包

请填写红包祝福语或标题

红包个数最小为10个

红包金额最低5元

当前余额3.43前往充值 >
需支付:10.00
成就一亿技术人!
领取后你会自动成为博主和红包主的粉丝 规则
hope_wisdom
发出的红包

打赏作者

点云实验室lab

你的鼓励将是我创作的最大动力

¥1 ¥2 ¥4 ¥6 ¥10 ¥20
扫码支付:¥1
获取中
扫码支付

您的余额不足,请更换扫码支付或充值

打赏作者

实付
使用余额支付
点击重新获取
扫码支付
钱包余额 0

抵扣说明:

1.余额是钱包充值的虚拟货币,按照1:1的比例进行支付金额的抵扣。
2.余额无法直接购买下载,可以购买VIP、付费专栏及课程。

余额充值