【自控笔记】4.2根轨迹绘制法则
法则1:根轨迹的分支数等于闭环特征方程的阶数,并且对称于实轴。
法则2:根轨迹起始于开环极点,或终于开环零点,或有n-m条根轨迹终于无穷远。
法则3:实轴上的根轨迹的右端零极点个数和为奇数。
法则4:根之和,闭环极点之和等于开环极点之和等于常数。
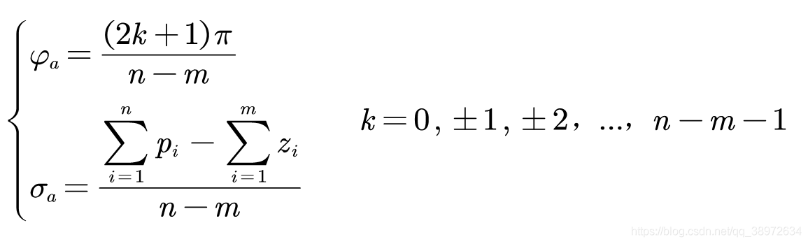
法则5:当开环极点数n大于开环零点数m时,将有n-m条根轨迹分支沿着渐近线趋向于无穷远处。渐近线与实轴的夹角 与实轴的交点分别为:
法则6: l条根轨迹分支在S平面上相遇后又立即分开的点,称为分离点。
【自控笔记】4.2根轨迹绘制法则
法则1:根轨迹的分支数等于闭环特征方程的阶数,并且对称于实轴。
法则2:根轨迹起始于开环极点,或终于开环零点,或有n-m条根轨迹终于无穷远。
法则3:实轴上的根轨迹的右端零极点个数和为奇数。
法则4:根之和,闭环极点之和等于开环极点之和等于常数。
法则5:当开环极点数n大于开环零点数m时,将有n-m条根轨迹分支沿着渐近线趋向于无穷远处。渐近线与实轴的夹角 与实轴的交点分别为:
法则6: l条根轨迹分支在S平面上相遇后又立即分开的点,称为分离点。
1573

被折叠的 条评论
为什么被折叠?