☞ ░ 老猿Python博文目录░
一、内积
1.1、定义
内积(inner product)又称数量积( scalar product)、点积(dot product),是指接受在实数R上的两个向量并返回一个实数值标量的二元运算。
两个向量a = [a1, a2,…, an]和b = [b1, b2,…, bn]的点积定义为:
a·b=a1b1+a2b2+……+an*bn。
使用矩阵乘法并把(纵列)向量当作n×1 矩阵,点积还可以写为:

以上定义方法为代数定义,表示向量a和b的点积等于a的转置矩阵和矩阵b的乘积。向量是将几何问题转化为代数问题的桥梁,向量点积的计算其实也可以使用几何方式计算。
1.2、內积的几何计算方法
设二维空间内有两个向量a 和b ,它们的夹角为 θ(区间为[0,π]),则内积定义为以下实数:

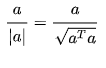
特别地,如果向量a和自己自乘,此时θ为0,cosθ=1,右边就变成了向量a的模的平方,左边变成了向量a的转置矩阵和a自身的乘积,所以才有上节的单位向量等式:

相关符号表示请参考《https://blog.csdn.net/LaoYuanPython/article/details/112410587 人工智能数学基础-线性代数1:向量的定义及向量加减法》的介绍。
注意:该定义只对二维和三维空间有效。
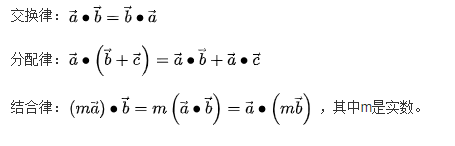
1.3、运算律

更多内容请参考百度文库关于点积的介绍
1.4、正交向量
正交向量指点积为零的两个或多个向量。
如果两个向量正交意味着它们是相互垂直的,若向量α与β正交,则记为α⊥β。
正交向量组是一组非零的两两正交即内积为0的向量构成的向量组。
如果正交向量组对应的每个向量都是单位向量,则称这些向量为单位正交向量。
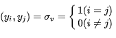
设y1,…,yn为n单位正交向量组,则其中的任意两个向量的內积为:

其中(yi,yj)表示yi和yj的內积。
二、外积
2.1、外积定义
外积(outer product)又称为矢量积、叉积、矢积、叉乘、向量积,向量a和向量b的外积形成一个垂直于原来的向量a、b的向量c,c的长度等于a、b构成的平行四边形的面积。两个向量a、b的外积表示为:

向量a、b外积的模与向量a的模和向量b的模的关系如下:

其中θ为向量a和向量b的夹角。
2.2、右手定则及外积方向
在三维坐标系中x、y、z为三个坐标轴,右手定则为伸开右手手掌,四个手指从x轴正方向方向转到y轴正方面,则大拇指方向即为z正轴方向。
向量a、b的外积向量c垂直于向量a和向量b,方向符合右手定则。
2.3、外积的代数表示
假设三维坐标系中,向量a(x1,y1,z1)、向量b(x2,y2,z2)的外积坐标可以通过如下方式计算得出:
a × b = (x1,y1,z1)×(x2,y2,z2)=(y1*z2-y2*z1,z1*x2-z2*x1,x1*y2-x2*y1)
2.4、外积相关公式
由于输入的问题,下面公式中的英文字母如非特别说明表示向量:
- 反对称性:a × b= - b× a
- 分配律:a × (b+c) = a ×b +a ×c
- 二重(双重)外积公式:
a × (b×c )= b(a · c) − c(a ·b) 或 a×(b×c)=-(b×c)×a=(a·c)b-(a·b)c - a × a= 0
- (ka)× b = a × (kb) = k(a × b ),其中k为实数,a、b为向量
更多外积参考资料请参考百度百科关于外积的解释。
三、小结
本文介绍了向量的內积和外积的概念,以及相关的运算公式。
写博不易,敬请支持:
如果阅读本文于您有所获,敬请点赞、评论、收藏,谢谢大家的支持!
更多人工智能数学基础的介绍请参考专栏《人工智能数学基础 》
专栏网址:https://blog.csdn.net/laoyuanpython/category_10382948.html
关于老猿的付费专栏
- 付费专栏《https://blog.csdn.net/laoyuanpython/category_9607725.html 使用PyQt开发图形界面Python应用》专门介绍基于Python的PyQt图形界面开发基础教程,对应文章目录为《 https://blog.csdn.net/LaoYuanPython/article/details/107580932 使用PyQt开发图形界面Python应用专栏目录》;
- 付费专栏《https://blog.csdn.net/laoyuanpython/category_10232926.html moviepy音视频开发专栏 )详细介绍moviepy音视频剪辑合成处理的类相关方法及使用相关方法进行相关剪辑合成场景的处理,对应文章目录为《https://blog.csdn.net/LaoYuanPython/article/details/107574583 moviepy音视频开发专栏文章目录》;
- 付费专栏《https://blog.csdn.net/laoyuanpython/category_10581071.html OpenCV-Python初学者疑难问题集》为《https://blog.csdn.net/laoyuanpython/category_9979286.html OpenCV-Python图形图像处理 》的伴生专栏,是笔者对OpenCV-Python图形图像处理学习中遇到的一些问题个人感悟的整合,相关资料基本上都是老猿反复研究的成果,有助于OpenCV-Python初学者比较深入地理解OpenCV,对应文章目录为《https://blog.csdn.net/LaoYuanPython/article/details/109713407 OpenCV-Python初学者疑难问题集专栏目录 》。
前两个专栏都适合有一定Python基础但无相关知识的小白读者学习,第三个专栏请大家结合《https://blog.csdn.net/laoyuanpython/category_9979286.html OpenCV-Python图形图像处理 》的学习使用。
对于缺乏Python基础的同仁,可以通过老猿的免费专栏《https://blog.csdn.net/laoyuanpython/category_9831699.html 专栏:Python基础教程目录)从零开始学习Python。
如果有兴趣也愿意支持老猿的读者,欢迎购买付费专栏。

本文聚焦于向量的内积和外积。详细介绍了内积的定义、几何计算方法、运算律及正交向量;同时阐述了外积的定义、右手定则及方向、代数表示和相关公式。最后对向量内积和外积的概念及运算公式进行了总结。

2万+

被折叠的 条评论
为什么被折叠?



